
Основная функция УПО – преобразование видеосигнала, представляющего собой последовательность видеоимпульсов, соответствующих освещённостям в анализируемых точках изображения, в адекватные значения кодов двоичных чисел.
Рисунок 103. Функциональная схема предварительной обработки видеосигнала.
Кроме АЦП в составе УПО должны быть дополнительные аппаратные средства, обеспечивающие условия оптимального согласования параметров видеосигнала с параметрами АЦП независимо от содержания кадра
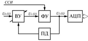
Входной сигнал U0(t) с выхода ТД поступает на вход видеоусилителя (ВУ) с регулируемым коэффициентом усиления.
Рисунок 104. Принцип работы ФУ
Основное назначение ВУ – масштабирование, то есть обеспечение размаха видеосигнала (от минимального уровня «чёрного» до максимального уровня «белого») приблизительно равного динамическому диапазону допустимых входных сигналов АЦП. Управление ВУ осуществляется посредством пикового детектора (ПД). Он измеряет максимальное (пиковое) напряжение сигнала на входе АЦП и устанавливает такое значение коэффициента усиления, при котором максимальный уровень напряжение видеосигнала в кадре почти совпадает с верхним допустимым уровнем напряжения на входе АЦП.
Отметим, что в некоторых случаях при необходимости оценки абсолютной освещённости в анализируемых точках изображения вместо ПД в УПО может использоваться ручная установка оптимального постоянного коэффициента усиления. С выхода ВУ на вход АЦП видеосигнал поступает через фиксатор уровня (ФУ), обесп чивающий «привязку» нижнего уровня напряжения видеосигнала к нижнему уровню динамического диапазона АЦП. Необходимость использования ФУ обусловлена тем, что в видеосигнале, поступающем на вход УПО, обычно отсутствует информация о постоянной составляющей, и абсолютное значение напряжений, соответствующих «белому» и «чёрному» может сильно зависеть от содержания кадра, а, точнее, от процентного соотношения количества светлых и тёмных элементов в кадре.
Принцип работы ФУ поясняет рисунок 104. Показаны два примера изображений, содержащих малоразмерный объект, соответствующие им осциллограммы видеосигналов выбранной строки. Как видно из этих примеров, даже при одинаковых уровнях освещенности вследствие потери постоянной составляющей видеосигнала на выходе ВУ, содержащего разделительные конденсаторы, в обоих случаях наблюдаются различные значения напряжений (среднее значение напряжения U1(t) равно нулю). Это может привести к последующемунеправильному кодированию значений освещённости в точках изображения при формировании двоичных кодов с помощью АЦП. На выходе ФУ видеосигналы имеют более правильный вид.







