Понятия «приток» и «сток» рассматриваются как обобщенные понятия.
Уровень жидкости в аппарате можно регулировать, применяя различные схемы регулирования.
Первый вариант (рис. 8) — регулирование «на притоке», изменяя расход жидкости на входе в аппарат.
Второй вариант (рис. 9) — регулирование «на стоке», изменяя расход жидкости на выходе из аппарата.
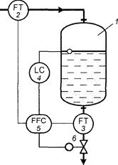
Третий вариант (рис. 10) — регулирование соотношения расходов жидкости на входе в аппарат и выходе из него с коррекцией по третьему технологическому параметру — уровню (каскадная система регулирования).
Если в аппарате (испарителе, конденсаторе, ректификационной колонне и т. п.) имеют место фазовые превращения веществ, тогда уровень является характеристикой и гидродинамических, и тепло-массообменных процессов. Приток и сток должны учитывать фазовые превращения веществ. В этом случае уровень регулируют изменением расхода теплоносителя, например греющего пара или хладагента (рис. 11). В указанных аппаратах уровень связан с другими технологическими параметрами, например давлением. Естественно, в каждом конкретном случае система регулирования уровня реализуется с учетом других контуров регулирования.
|
|
|

Рис. 8. Схема непрерывного регулирования уровня «на притоке»: / - аппарат; 2 - регулятор уровня; 3- регуегулируюший клапан
Рис. 9. Схема непрерывного регулирования уровня «на стоке».

Рис. 10. Схема непрерывного регулирования уровня каскадной САР: / — аппарат; 2, 3 — датчики расхода; 4 — регулятор уровня (ведущий); 5 — регулятор соотношения двух расходов (ведомый); 6 — регулирующий клапан

Рис. 11. Схема непрерывного регулирования уровня в испарителе: 1 — испаритель; 2 — регулятор уровня; 3 — регулирующий клапан
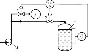
Выбор непрерывного или позиционного регулятора определяется требуемой точностью поддержания уровня в аппарате. Если необходимо уровень жидкости в аппарате поддерживать на заданном значении, а постоянные колебания уровня недопустимы, то используют непрерывный регулятор. Позиционные регуляторы применяются обычно для поддержания уровня в сборниках жидкости, промежуточных емкостях в заданных (достаточно широких) пределах

где
— нижнее и верхнее значения уровня жидкости в аппарате
соответственно.

Рис. 12. Схема позиционного регулирования уровня:
/ — сборник жидкости; 2 — резервный сборник жидкости; 3 — насос; 4 — датчик уровня; 5 — регулятор уровня; 6, 7 — регулирующие клапаны
Схема позиционного регулирования уровня приведена на рис. 12. Если уровень достигает своего предельного значения
(верхнего), поток автоматически переключается на резервный сборник жидкости.






