РАЗДЕЛ 1. Межвременный выбор во времени
До сих пор мы предполагали, что экономические действия и их последствия относятся к одному и тому же моменту времени. Как бы ни были полезны для понимания экономических проблем модели, в которых отсутствует время, реальный мир таков, что события и процессы в нем привязаны ко времени. Килограмм яблок, имеющийся в распоряжении потребителя сегодня, — это не тоже самое, что килограмм таких же яблок, который достоверно будет у него в следующем месяце. Экономические блага различаются не только своими физическими свойствами, как например яблоки, пирожки с мясом и джинсы, но и принадлежностью к определенному моменту (периоду). Это обстоятельство имеет важные последствия для потребительского выбора и экономики в целом.
Уже известный нам понятийный аппарат функций полезности и кривых безразличия применим не только к потребительскому выбору между различными комбинациями благ одного периода, но в равной степени и к потребительскому выбору между потреблением в настоящем и в будущем. Для иллюстрации этого рассмотрим простую задачу межвременного потребительского выбора.
|
|
|
Пусть доход индивида в каждом периоде задан и заранее ему известен. Сберегая часть текущего дохода, потребитель может увеличить расходы на потребление будущих периодов. Но простор для маневра еще шире, если существует рынок капитала.
Предположим, что индивид может давать и брать деньги в кредит под один и тот же процент r за период. Следовательно, он может сберечь часть текущего дохода, дать ее взаймы и увеличить свое потребление в следующих периодах, а может взять кредит и расширить потребление в настоящем за счет своих будущих доходов и будущего потребления. 1 руб. дохода настоящего периода можно превратить в 1 + r руб. в следующем периоде, и, наоборот, 1 + r руб. дохода следующего периода можно превратить в 1 руб. в настоящем. Это обстоятельство, а также величины настоящего и будущих доходов индивида задают его бюджетное ограничение, множество доступных альтернатив.
У потребителя есть свои предпочтения относительно различных вариантов распределения потребления во времени. Например, он хотел бы, чтобы его дети после окончания средней школы учились в частном высшем учебном заведении, за что ему придется платить.
Кроме того, он не хотел бы, чтобы его потребление, когда по возрасту он перестанет работать, сократилось до неприемлемого уровня. При этом не следует забывать и о настоятельности сегодняшних потребностей. Предположим, что такие потребительские предпочтения представлены в виде функции полезности, зависящей от расходов на потребление в различные периоды предстоящей жизни. Тогда цель потребителя — получить наивысшее удовлетворение своих потребностей — может быть представлена как максимизация функции полезности при заданном бюджетном ограничении.
|
|
|
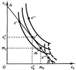
Решением этой задачи является оптимальный многопериодный план потребления. С межвременных предпочтениях потребителя мы предполагаем, что они совместимы во времени. Это означает, что если спустя некоторое время потребитель вновь определит оптимальный план потребления для будущих периодов, то этот план совпадет с избранным ранее оптимальным планом для этих периодов (в условиях полной определенности). Представим для наглядности потребительский выбор во времени графически. Для этого предположим, что временной горизонт потребителя состоит только из двух периодов: настоящего и будущего. Пусть предпочтения потребителя в настоящий момент относительно различных комбинаций настоящего и будущего потребления выражены функцией полезности U(c0, c1), где c0 и c1 — объемы потребления соответственно в настоящем и будущем[1]. На рис. 1 изображены некоторые из кривых безразличия, задаваемых функцией полезности индивида. Планы потребления (комбинации настоящего и будущего потребления), лежащие на одной кривой безразличия, доставляют потребителю один и тот же уровень полезности (удовлетворения). Чем выше расположена кривая безразличия, тем более высокому уровню полезности она соответствует.

Рис. 1. Кривые безразличия потребителя
Что представляет собою движение вдоль какой-нибудь кривой безразличия, скажем? Если из точки двинуться влево вдоль то объем текущего потребления уменьшится, но увеличится объем будущего потребления так, что уровень полезности, извлекаемый индивидом, сохранится тем же. Другими словами, потребитель может согласиться на сокращение текущего потребления “в обмен” на определенное увеличение своего будущего потребления. В точке с предельная норма замещения текущего потребления будущим потреблением равна наклону касательной к кривой безразличия в этой точке.
Пусть доходы потребителя в настоящий и будущий периоды достоверно известны и равны соответственно m0 и m1. Потребитель стремится “забраться” на самую высокую кривую безразличия. Индивид может полностью потребить весь доход каждого периода, т. е. выбрать план потребления: c0 = m0, c1 = m1. Но существование рынка капитала предоставляет ему и другие возможности: он может давать и брать средства взаймы под процент r за период. Если его объем потребления в настоящем равен c0, то сберегаемый в первом периоде и отдаваемый в ссуду доход равен m0 – c0. В следующем периоде он вернется с процентами и, следовательно, (1 +r) (m0 – c0) будет добавкой к доходу будущего периода. Поскольку во втором (последнем) периоде не имеет смысла сберегать, объем потребления в нем задается равенством:
| c1 = m1 + (1 + r) (m0 – c0), |
или:
| c1 = m1 + (1 + r)m0 – (1 + r)c0. |
Легко убедиться в том, что это уравнение задает прямую, проходящую через точку m = (m0, m1) и имеющую наклон к оси абсцисс, равный –(1 + r). Такая прямая АВ изображена на рис. 2.

Рис. 2. Линия возможностей потребителя
На прямой АВ лежат планы потребления, полностью исчерпывающие доходы двух периодов.
Вдоль прямой АВ потребитель может, используя рынок капитала, превращать (трансформировать) настоящее потребление в будущее потребление, и наоборот.
Поскольку мы имеем дело с прямой, предельная норма трансформации настоящего потребления в будущее здесь одинакова для всех точек на прямой АВ и равна 1 + r. Если потребитель выберет план потребления, лежащий на прямой АВ выше точки т, он будет в настоящем периоде кредитором (заимодавцем). Если план потребления окажется ниже и правее точки m, это означает, что индивид становится в настоящем заемщиком.
|
|
|
На рис. 3 изображены одновременно кривые безразличия и линия трансформации в задаче межвременного выбора для некоторого индивида. Как рациональный потребитель, он стремится выбрать оптимальный план потребления, т. е. такой, что нельзя указать другого допустимого плана потребления, который был бы для него предпочтительнее.
Оптимальным планом потребления будет точка на прямой АВ, которая лежит на самой высокой кривой безразличия, т. е. с* — точка касания кривой безразличия и прямой АВ.
Любой другой план потребления, лежащий на прямой АВ, будет обеспечивать меньший уровень полезности, например точка c`, так как проходящая через нее кривая безразличия лежит ниже кривой безразличия, касающейся линии АВ. В то же время точка c``, хотя и лежит на более высокой кривой безразличия, не может быть оптимальным решением, так как недостижима.

Рис. 3. Кривые безразличия и линия трансформации в задаче межвременного выбора
Представим себе другого индивида с тем же бюджетным ограничением (линией трансформации), но другой функцией полезности. Его кривые безразличия могли бы выглядеть так, как прерывистые линии на рис. 3.
Оптимальным планом потребления для индивида с такими предпочтениями была бы точка и индивид был бы заемщиком на рынке капитала в настоящем периоде, а не кредитором, как индивид с кривыми безразличия, изображенном сплошными линиями.
Обратим внимание, что оптимальное решение характеризуется равенством между предельной нормой замещения настоящего потребления будущим и предельной нормой трансформации настоящего потребления в будущее.
В этом разделе мы ограничились случаем, когда временной горизонт потребителя состоит всего из двух периодов. Но потребитель обычно решает более сложные задачи: ему нужно распределить свое потребление между многими периодами.
Рынок капитала предоставляет ему возможность давать и брать деньги взаймы на различные сроки. В следующем разделе на простой схеме вкладчик—банк мы рассмотрим некоторые закономерности рынка капитала, позволяющие выяснить, как трансформируется потребление в случае произвольного числа периодов.
|
|
|
[1] Мы предполагаем, что функция полезности U(c0, c1) монотонно возрастающая, строго вогнутая и всюду дифференцируемая.
РАЗДЕЛ 2. Логика сложных процентов
В одной из книг Якова Исидоровича Перельмана есть такой сюжет.
Человек кладет в банк 1000 руб. под 100 % годовых. Это значит, что при хранении вклада в течение года его величина вырастает на 100 % первоначального значения, т. е. на 1000 руб. и если вкладчик предполагает хранить свои деньги в банке ровно в течение года, он сможет в конце этого периода получить 1000 + 1000 = 2000 руб.
Правила хранения таковы, что вкладчик может в любой момент получить свои деньги.
Проценты простые, т.е. приращение вклада пропорционально времени хранения. Если вкладчик захочет получить свои деньги через два года, то его вклад увеличится на 2000 руб. ему будет причитаться всего 3000 руб., а если он захочет снять свои деньги через полгода, то вклад увеличится на 500 руб. и составит всего 1500 руб.
Но вкладчик все-таки хочет хранить деньги в банке ровно год. И ему в голову приходит такая мысль: а что если через полгода ему переоформить вклад, т. е. как бы получить деньги и сразу же положить их снова храниться еще полгода? Сумма, выросшая за полгода, составит, как мы видели, 1500 руб. А если эти 1500 руб оставить теперь еще на полгода в банке, то сумма увеличится еще на 1500·1/2 = 750 руб. и составит 2250 руб. Это больше, чем та сумма, которая получилась бы без переоформления, так что такая операция вкладчику, безусловно, выгодна.
Читатель, возможно, заметил, что мы могли бы все расчеты выполнить проще. За первые полгода вложенная сумма возрастает в 1 + 1/2 =l.5 раза. За вторые полгода уже новая сумма возрастает в 1.5 раза, так что всего в конце года вкладчик должен получить:
1000(1 + 1/2)2 = 2250 руб.
Но вернемся к нашему вкладчику. Он продолжает свои размышления: а если переоформлять вклад через каждый квартал? Тогда в конце концов получится:
1000(1+1/4)4 = 2441.41 руб.,
т. е. еще больше! (Если вы захотели проверить результат, учтите, что мы округляем результат до целых копеек).
Легко сообразить, что, переоформляя вклад N раз в течение года, вкладчик в конце концов получит:
1000 (l+1/N)N руб.
При ежемесячном переоформлении вклада сумма составит 2613.04 руб., а при ежедневном, считая, что банк работает без выходных, — 2714.57 руб. Как видим, переход от N = 12 к N = 365 не очень сильно увеличил сумму — всего на 101 руб. с копейками, — так что выигрыш едва ли стоит ежедневных хлопот с переоформлением.
Но в мысленном эксперименте мы можем пойти еще дальше: а что произойдет при бесконечно частом переоформлении? Величина (1+1/N)N, как известно из курса математики, при N → + стремится к пределу, равному е ≈ 2.718 281 8... Таким образом, если переоформление вклада превратится в непрерывный процесс, то при 100 % годовых вкладчик к концу года сможет получить в банке 1000е ≈ 2718.28 руб., т. е. доход на вложенную 1000 руб. составит 2718.28 – 1000 = 1718.28 руб.
Теперь мы отойдем от перельмановского сюжета и попытаемся найти ответы на некоторые вопросы. Вполне ли разумны рассмотренные нами правила хранения вклада?
Нельзя ли их улучшить? И что означает цифра “100 % годовых”, если при соблюдении всех правил вкладчик может получить в течение года доход почти 172 %?
Чем неудачны правила, предложенные банком? Они побуждают вкладчика часто переоформлять свой вклад. При этом он не получает и не вкладывает никаких денег. Как будто ничего не происходит — а его доход увеличивается.
Банк, назначив ставку 100 % в год, должен быть готов за пользование вкладом в течение года заплатить без малого 172 % и при этом загрузить своих служащих бесполезной работой по переоформлению вкладов.
Можно, конечно, запретить вкладчику какое-то время совершать операции по своему вкладу или по крайней мере понижать процентную ставку, если вкладчик захочет воспользоваться своими деньгами в течение “запретного” периода. Можно ввести плату за переоформление. Можно не накапливать доход на счете вкладчика, а выплачивать ему причитающиеся суммы “непрерывно” (на практике — через короткие промежутки времени). Но мы рассмотрим другую возможность: попытаемся отказаться от простых процентов, т. е. от начисления дохода пропорционально сроку хранения вклада, и попробуем найти такую зависимость дохода от времени хранения вклада, которая избавила бы и вкладчика, и банк от перечисленных выше неудобств. Уязвимым местом первоначального правила начисления дохода было следующее обстоятельство: операции, не изменяющие в момент их совершения количества денег у каждой из сторон, тем не менее изменяли в конце концов доход вкладчика. Назовем такие операции фиктивными; попытаемся сконструировать правила таким образом, чтобы выполнение фиктивных операций не изменяло дохода вкладчика. Пусть v обозначает сумму, вносимую вкладчиком в момент t0; сумму, которую он получит в банке через некоторое время, в момент t1, обозначим w. Функция роста, связывающая эти величины:
w = F(v, t0, t1),
выражает количественную сторону правила начисления дохода. Для правила простых процентов, которое мы теперь ставим под сомнение, эта функция описывает линейную зависимость от времени хранения:
w = F(v, t0, t1),
выражает количественную сторону правила начисления дохода. Для правила простых процентов, которое мы теперь ставим под сомнение, эта функция описывает линейную зависимость от времени хранения:
| w = v[1 + (t0 – t1), |
где коэффициент определяется процентной ставкой.
Потребуем, чтобы функция роста обладала следующими тремя свойствами.
1. Стационарность: один и тот же по величине вклад при одной и той же продолжительности хранения дает одно и то же значение функции роста, независимо от момента вложения (рис. 4). Иными словами, значения функции роста должны зависеть только от разности Т = t0 – t1. Приняв это требование, мы можем записать функцию роста как w = F(v, T).

Рис. 4. Стационарность роста
2. Аддитивность: рост суммы вкладов равен сумме функций роста по каждому из вкладов в отдельности (рис. 5). Зафиксируем моменты внесения и получения вкладов и рассмотрим зависимость размера выплаты w только от величины первоначального вклада: w = G(v). Требование аддитивности означает выполнение равенства:
| G(x + y) = G(x) + G (y) (1) |

Рис. 5. Аддитивность роста
В чем смысл этого требования? Если бы при каких-нибудь значениях х и y имело бы место неравенство:
| G(x + y) < G(x) + G(y), |
то вкладчику было бы выгодно свой вклад v = х + y разделить на два вклада размером х и y. Но количество денег у вкладчика не зависит от того, сделает ли он один вклад размером 1000 руб. или разделит его на части размером 300 и 700 руб. Не зависит от этого и количество денег, поступающее в распоряжение банка, так что дробление вклада — фиктивная операция.
Если бы, напротив, имело место неравенство:
| G(x + y) > G(x) + G(y), |
вкладчик был бы заинтересован, например, объединиться с приятелем, договорившись о распределении дополнительного дохода. Но такое объединение — тоже фиктивная операция. Итак, мы признали требование (1) разумным. Но непрерывная функция, обладающая этим свойством — это прямая пропорциональность:
| G(v) = kv. |
Доказательство этого факта помещено в Математическом приложении VI. Вспомним, что функция G(v) описывает рост при фиксированных моментах t0 и t1. Если же эти моменты произвольны, то коэффициент k должен зависеть от t0 и t1, а поскольку мы приняли допущение о стационарности, коэффициент k должен зависеть от продолжительности хранения вклада. Таким образом, мы пришли к следующему результату: функция роста, отвечающая требованиям 1 и 2, должна иметь вид:
| F(v, T) = vk(T). (2) |
Функцию k(T) будем называть коэффициентом роста вклада.
3. Согласованность во времени. Пусть вклад v за время хранения вклада T1 возрастает до значения w1, а вклад w1 за последующий период хранения T2 возрастает до w2 (рис. 6).
Потребуем, чтобы за время хранения T1 + T2 первоначальный вклад v возрастал до того же самого значения w2. Иными словами, мы хотим, чтобы фиктивная операция переоформления вклада не изменяла дохода вкладчика.

Рис. 6. Согласованность во времени
Из равенства (2) следует:
| w1 = vk(T) и w2 = w1k(T2) = vk(T1)k(T2). |
Мы требуем, чтобы выполнялось также равенство:
| w2 = vk(T1 + T2). |
Таким образом, коэффициент роста должен удовлетворяет условию:
| k(T1 + T2) = k(T1)k(T2). (3) |
Подобно тому как условию (1) соответствует только прямая пропорциональность, требованию (3), предъявляемому к коэффициенту роста, отвечает только показательная функция:
| k(T) = eρT. |
Коэффициент ρ показывает, с какой скоростью происходит рост вклада.
Таким образом, всем трем рассмотренным требованиям отвечает функция:
| w = vρT.. |
Заметим, что коэффициенту роста можно придать эквивалентную форму:
| k(T) = RT, (4) |
или:
| k(T) = (1+r)T, (5) |
полагая R = eρ, r = R – 1.
Теперь в нашем распоряжении имеются различные показатели, характеризующие скорость возрастания вклада. Между ними существует взаимно однозначная связь. В частности,
ρ = lnR = ln(1 + r).
Выясним, что показывает каждый из этих показателей.
Из равенства (4) видно, что при Т = 1, т. е. при хранении вклада в течение единицы времени (например, года), первоначальный вклад увеличивается в R раз, или возрастает на долю r своей первоначальной величины. Величина r100 % обычно называется процентной ставкой, а формула (5) — формулой сложных процентов. Будем считать, что вклад производится в момент t0 после чего доход начисляется непрерывно; будем рассматривать накопленную сумму вклада w(t) как функцию текущего времени. По прошествии временивклад несколько увеличится; его относительный прирост в единицу времени составит:
d = [w(t + Δt) – w(t)]/w(t) Δt.
Мгновенную относительную скорость получим, переходя к пределу при Δt → +:
d = (1/w(t))(dw(t)/dt).
Если рост происходит в соответствии с уравнением (4):
| w(t) = veρ(t – t0), |
то dw(t)/dt = ρveρ(t – t0)
и δ = ρ.
Последний результат разъясняет смысл показателя ρ.
В той ситуации, которая рассматривалась в начале этого раздела, вкладчик имел возможность непрерывно переоформлять вклад из расчета 100 % годовых, т. е. фактически мог получать доход на основе сложных процентов при ρ = 1. Этому значению соответствует рост за год в R = е1 ≈ 2.718 раза, т. е. действительная процентная ставка составляла 171.8 % годовых. Если бы при тех же правилах банк хотел установить действительную процентную ставку 100 %, то при непрерывном начислении дохода следовало бы взять ρ = ln 2 ≈ 0.693.
В примере была использована высокая процентная ставка для того, чтобы было заметнее различие между результатами применения формул простых и сложных процентов.
Разложение показательной функции в степенной ряд:
| eρt = 1 + ρt + (ρt)2/2! + (ρt)3/3! + … |
показывает, что при ρt << 1 можно пренебречь слагаемыми, в которые ρt входит во второй и более высоких степенях:
| eρt» 1+ ρt. |
При этом, во-первых, функции роста для простых и для сложных процентов принимают близкие значения; во-вторых, показатели r и r также близки друг к другу. Например, е0.05 ≈ 1.0512. Если ρ = 5 % в год и t = 1 году, то действительная процентная ставка равна 5.12 % годовых. Если, наоборот, ρ = 5 % годовых, то r = ln 1.05 ≈ 0.0488. Разница, как видим, невелика.
Поэтому в Сбербанке принято следующее правило начисления дохода по вкладам до востребования, допускающим операции не чаще одного раза в день: в пределах календарного года действует правило простых процентов, а в конце года остаток вклада увеличивается на величину образовавшегося за год дохода, что равносильно операции переоформления вклада в нашем примере; при хранении вклада на протяжении ряда лет в целом действует формула (5).
Приведенные здесь соотношения позволяют соизмерять доходы и затраты, относящиеся к различным моментам времени.
Пусть потребитель рассчитывает получить доход W через Т лет. Какому сегодняшнему доходу равноценна для него эта величина? Иными словами, какие ради этого затраты он согласен понести сегодня? Ответ на оба эти вопроса дает величина, получившая название сегодняшней (или текущей) ценности дохода, ожидаемого в будущем.
Получить через Т лет сумму W потребитель мог бы, положив сегодня в банк сумму PV, удовлетворяющую соотношению:
| PV (1+r)T = W. |
Это и есть та сумма, которую потребитель согласен не расходовать на сегодняшнее потребление ради будущего дохода, т. е. сегодняшняя ценность этого дохода.
Итак, сегодняшняя ценность дохода W, ожидаемого через Т лет, равна:
| PV = W/(1+r)T. (6) |
Так, если r = 20 % годовых, Т = 20 лет, то сегодняшняя ценность дохода в 1000 руб. составляет всего:
| PV = 1000/1.220 ≈ 26.08 руб. |
Если же потребитель рассчитывает получать доход в течение ряда лет и его величина, падающая на Т-й год, равна WТ(Т = 1, 2,..., N), то сегодняшняя ценность распределенного по времени дохода:
(7)
|
РАЗДЕЛ 3. Теория человеческого капитала
Стоит ли образование того, чтобы платить за него из своего кармана? Почему в странах с рыночной экономикой врач зарабатывает больше слесаря-сантехника, а адвокат — больше официанта? На эти и другие вопросы помогает ответить теория человеческого капитала.
Труд образованного и профессионально подготовленного человека производительнее, чем труд необученного. Если это верно, то нужно согласиться с утверждением, что вложения в образование создают человеческий капитал, подобно тому как затраты на сооружения и оборудование создают капитал физический. Особенность человеческого капитала состоит в том, что он неотделим от самого человека.
Теория человеческого капитала появилась в результате приложения принципов экономической теории к проблемам экономики образования, здравоохранения и миграции. Хотя ее ключевые идеи были предвосхищены еще Адамом Смитом, стройное оформление и бурное развитие она получила в 60-е XX столетия в работах Гэри Беккера, Якоба Минсера, Теодора Шульца и других экономистов.
Эта теория исходит из простых и убедительных предпосылок. Люди как потребители заинтересованы в максимизации доходов всей жизни в целом, а не отдельного периода или года. Существует четкая зависимость между образовательным уровнем работника и его пожизненными заработками. Предполагается, что эта зависимость отражает причинно-следственную связь, идущую от образования к мастерству, от мастерства к производительности труда и, наконец, от производительности труда к заработкам.
Люди принимают решения о вложениях в свое образование и профессиональную подготовку на основе сопоставления связанных с этим затрат и выгод. Выгоды образования или подготовки состоят в ожидаемых будущих более высоких доходах.
Затраты имеют две формы: явные затраты на курс обучения и скрытые затраты (не полученные в течение обучения заработки). Выгоды и затраты относятся к самым разным периодам, и поэтому индивид должен сравнивать сегодняшнюю ценность ожидаемых выгод с сегодняшней ценностью ожидаемых затрат. Приведение к настоящему моменту (дисконтирование) будущих выгод и затрат является здесь ключевым аспектом.
Рациональный вкладчик в человеческий капитал будет инвестировать до достижения такого уровня образования (подготовки), при котором предельные выгоды образования как раз покрывают предельные затраты. В равновесии норма отдачи на последнюю порцию инвестиций в образование должна быть равна норме отдачи на другие виды вложений (например, в физический капитал).
Для того чтобы проиллюстрировать основную идею с помощью простой модели, рассмотрим индивида, максимизирующего свое богатство, т. е. чистую сегодняшнюю ценность всех своих будущих доходов. Пусть он решает вопрос, обучаться ли ему еще в течение одного года. Обозначим через С затраты образования в течение дополнительного года — в значительной мере это не полученные за время обучения заработки. Затраты обучения нужно сравнить с ожидаемыми выгодами более высоких заработков, предоставляемых рынком труда. Обозначим через Р сегодняшнюю ценность этих выгод, тогда:
|
где Вt — ожидаемый дополнительный (в результате образования) годовой заработок в году t; i — рыночная норма отдачи на капиталовложения; N — продолжительность предстоящей трудовой жизни.
(7)






