
Рис. 13. Иллюстрация теории "второго наилучшего".
Развивая аналогию с теорией "второго наилучшего", заметим, что, например, некое непреодолимое препятствие (допустим, в точке В) мешает нашему путнику достичь самой высокой вершины. Однако если его целью остается максимальная высота и он дошел до этого препятствия, то ему придется пройти назад большое расстояние, если второй по высоте холм (с вершиной в точке А) находится на значительном отдалении от первого.
Очевидно, что гораздо лучше в этих обстоятельствах не идти до точки В, чтобы затем возвращаться назад в точку А, и тем более не оставаться в точке В, а сразу остановиться в точке А, на второй по высоте из вершин. Такое решение и было бы оптимумом второго порядка, или "вторым наилучшим". От условного сравнения перейдем к строгому математическому сравнению "первого наилучшего" и "второго наилучшего". Парето-эффективное состояние лежит на границе производственных возможностей общества, и его нахождение можно рассматривать как задачу на максимизации с ограничением:
|
|
|
F(x1, x2,... xn) → max
при ограничении:Φ(x1, x2,... xn) = c.
Составляем функцию Лагранжа:
L = F(x1, x2,... xn) - λ→(x1, x2,... xn).
Условия парето-эффективности определяются из:
| Fi - λ→i = 0; i = 1,2,...n, (1) |
где нижний индекс i обозначает частную производную по i-той переменной. Эти условия "первого наилучшего" также могут быть записаны как:
F1 / →1 = F2 / →2 =... Fn / →n.
Далее предположим, что какое-то неустранимое препятствие мешает выполнению одного из этих условий (равенств), допустим, первого из них. Так что теперь:
F1 / →1 ≠ F2 / →2
или:
| F1 / →1 = kF2 / →2; k≠1. (2) |
Выражение (2) можно представить и как:
| F1 / F2 = k→1 / →2. (3) |
Легко можно предположить, что левая часть равенства (3) есть MRS12, иначе говоря, F1 = MU1 (предельной полезности блага 1), а F2 = MU2 (предельной полезности блага 2). В то же время →1 / →2 вполне можно представить как MRT12, иначе говоря, →1 = MC1 (предельные издержки блага 1), а →2 = MC2(предельные издержки блага 2).
Следовательно, k ≠ 1препятствует равенству между MRS12 и MRT12, т. е. достижению эффективности структуры продукции в одном из секторов экономики.
Для нахождения условий "второго наилучшего" необходимо включить препятствие достижению эффективности в набор ограничений. Теперь нашу задачу следует сформулировать как:
maxF(x1, x2,... xn),
при ограничениях::Φ(x1, x2,... xn) = 0.
F1 / F2 - k→1 / →2 = 0.
Составляем новую функцию Лагранжа:

В итоге получаем условия нового оптимума (оптимальное решение типа "второе наилучшее"):
, (4)
|
где F1i, F2i, Φ1i, Φ2i - вторые частные производные по i-той переменной. Теперь логично задать следующий вопрос: может ли в ситуации, когда в одном из секторов экономики одно из условий парето-эффективности невыполнимо, "второе наилучшее" достигаться выполнением условий парето-эффективности везде, где это возможно сделать? Сравним формулу (4) с формулой (1). Из этого сравнения очевидно, что положительный ответ на этот вопрос можно дать только в двух случаях:
|
|
|
а) когда μ = 0
или:
б) когда μ ≠ 0, но выражение в скобках в формуле (4) равно нулю для всех i.
Cлучай а) должен быть сразу исключен, так как из формулы (4) видно, что для i = 1, 2 это означало бы, что F1 / →1 = F2 / →2, а это невозможно из выражения (2). Иначе пришлось бы отказаться от введенного ограничения на достижение парето-эффективности, а в его неустранимости весь смысл рассматриваемой проблемы.
Остается случай б), который нельзя в принципе исключать. Однако его вероятность чрезвычайно мала, поскольку ничто не мешает выражению в скобках в формуле (4) принимать также любые положительные или отрицательные значения. Теперь должно быть понятно, почему Р. Липси и К. Ланкастер выбрали такое название для выведенного ими принципа, как "общая теорема "второго наилучшего"". Обратим также внимание на то, что в приведенной нами выше их оригинальной формулировке этой теоремы они используют выражение "как правило", т. е. допускают некоторую вероятность реализации случая б).
Теорема "второго наилучшего" имела весьма серьезные последствия для прикладной экономики благосостояния, после ее доказательства критерии оценки экономической политики значительно усложнились. Ведь в реальности всегда имеют место те или иные препятствия достижению парето-эффективности.
Во-первых, таковыми могут быть неустранимые несовершенства рынка. Как будет показано в лекциях 44, 45 и 47, рыночный механизм в автоматическом режиме работы далеко не всегда в состоянии обеспечить эффективное состояние экономики, а природа некоторых благ такова, что их рынки и вовсе отсутствуют. В предыдущих выпусках "ЭШ" уже рассматривались несовершенная конкуренция и монополия на товарных и факторных рынках.
Во-вторых, само государство введением налогов неизбежно создает отклонения от парето-эффективности. Ранее, в разделе 3, было отмечено, что практически невозможно ввести неискажающие налоги.
В-третьих, искажения могут быть обусловлены внешнеэкономической политикой другой страны. Так, например, при достаточно интенсивной торговле между странами введение препятствий свободной торговле (например, импортных пошлин или импортных квот) одной из сторон ведет к потере благосостояния другой стороной.
В-четвертых, имеют место ограничения социально-политического характера, которые иногда экономисты именуют "священными коровами". Так, например, если население в течение многих лет привыкло пользоваться мостом бесплатно, то введение платы за проезд в период пиковых нагрузок может оказаться политически неосуществимым мероприятием, хотя и ведущим к парето-улучшению. Если многочисленные искажения относительных цен или отсутствие ряда рынков неустранимы, то теория "второго наилучшего" должна, по идее, дать рекомендации политикам, какие надо вводить отклонения от условий парето-эффективности в тех секторах экономики, где достижение этих условий возможно. Если оптимальный размер этих отклонений будет найден, то благосостояние общества будет выше по сравнению с ситуацией, где этих отклонений не производится.
Если обратиться снова к формуле (4), то теоретический ответ на этот вопрос будет ясен.
Необходимо рассчитать величину μ[(F2F1i - F1F2i) / F22 - k(→2→1i - →1→2i) / →22], причем нужно определить знак этого выражения (в каком направлении осуществлять эти отклонения). Понятно, что возникающие в связи с таким расчетом проблемы получения достоверной информации и ее стоимости фактически исключают хоть сколько-нибудь точное попадание в цель при практическом осуществлении сознательных отклонений от парето-эффективности.
|
|
|
Экономисты часто рассматривают весьма упрощенные варианты решения проблемы нахождения "второго наилучшего". Традиционным подходом стало допущение, что в одном секторе экономики существует нерегулируемая монополия, а в другом - предприятие общественного сектора. Производятся либо взаимозаменяемые, либо взаимодополняемые товары. Пусть монополист производит продукт Х и продает его по цене PX > MCX В общественном секторе производится продукт Y.
Правило ценообразования, которому следует общественный сектор, нацелено на максимизацию общественного благосостояния. С тем чтобы его максимизировать, надо следовать простому принципу: изменять цену до тех пор, пока чистый прирост благосостояния остается положительным. Если далее невозможно менять цену таким образом, чтобы обеспечивать этот прирост, то тогда можно считать, что оптимальная цена найдена, причем независимо от того, равна она предельным издержкам или нет.
При анализе этой ситуации, чтобы исключить межличностные сравнения полезности, мы будем считать, что оба продукта - X и Y - потребляют одни и те же люди, и увеличение их потребительских излишков на обоих рынках свидетельствует о повышении их благосостояния; чтобы суммирование излишков по всем потребителям было вполне корректным, будем считать, что все потребители имеют одинаковые системы предпочтений. Если при этих предположениях окажется, что некоторое исходное состояние экономики можно изменить таким образом, что благосостояние возрастет, то это будет свидетельствовать о парето-неэффективности исходного состояния.
На рис. 14, а изображены линейные функции спроса на товары Y и X соответственно.
Ценность товаров определяется как желание платить за товары.
|
|
|
Следовательно, для потребителей ценность небольшого изменения в цене товара Y (т. е. Δ qY) равна ценности дополнительных единиц Y(Δ qY), которые в результате потребляются.
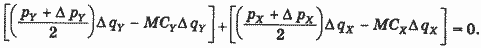
На рис. 14, а заштрихованная горизонтальными линиями и заполненная точками область показывает ценность этих дополнительных единиц товара Y для потребителей. Она равна (pY + ΔpY / 2)Δ qY.
Если Y и X - товары взаимозаменяемые, то изменение цены товара Y сдвинет линию спроса на товар X. Если цена товара Y увеличивается, то линия спроса на товар X сдвинется вправо (и наоборот). Предположим, что спрос на товар X сдвигается вправо вверх так, как это показано соответствующей стрелкой на рис. 14, б. Ценность дополнительных единиц товара X равна максимальной сумме, которую готовы заплатить потребители.


Рис. 14. Приближение к "второму наилучшему".1 - потери благосостояния от повышения цены и сокращения выпуска в общественном секторе; 2 - выигрыш в благосостоянии от расширения выпуска монополистом.
По мере того как кривая спроса сдвигается вправо, заштрихованная горизонтальными сплошными, а также вертикальными и горизонтальными пунктирными линиями площадь расширяется. Она измеряет желание платить за эти дополнительные единицы. Эта площадь может быть представлена как:
(pY + ΔpY / 2)Δ qY.
Когда выпуск товара Y увеличивается или уменьшается, то, очевидно, происходит изменение в издержках его производства. Оно может быть определено как произведение предельных издержек производства (если считать их постоянными) на число, показывающее изменение количества единиц товара Y, т. е.MCYΔ qY. Аналогичным образом изменение в общих издержках производства товара X (опять же при предположении о постоянных предельных издержках) может быть представлено как Понятно, что изменение цены товара Y оказывает влияние на желание платить за этот товар и его заменитель, а также на общие издержки производства обоих товаров (MCYΔ qY и MCYΔ qY).
Логично далее утверждать, что изменения в цене товара Y должны производиться до тех пор, пока чистый прирост благосостояния положительный.
Чистый прирост благосостояния равен:

Следовательно, цену рY надо изменять до тех пор, пока этот эффект не станет нулевым:
, (5)
|
Так, если цена товара Y увеличивается на Δ qY, то его потребление сокращается на Δ qY.
Одновременно мы экономим на издержках производства на величину MCYΔ qY. Однако если положительный разрыв между желанием платить (pY + ΔpY / 2)Δ qY и издержками MCYΔ qY по мере сокращения выпуска Y нарастает, то это означает, что благосостояние сокращается на величину положительного разрыва (т. е. нарастают потери общества от недопроизводства товара Y). На рис. 14,а этот разрыв представлен заполненным точками треугольником. Однако эти потери благосостояния могут перекрываться за счет расширения выпуска товара X в монополизированном секторе. Иначе говоря, в нем в отличие от предыдущего случая увеличение положительной разницы между (pY + ΔpY / 2)Δ qY и MCYΔ qY из-за сдвига вправо линии спроса и наращивания выпуска означает выигрыш в благосостоянии. На рис. 14, б эта разница представлена трапецией, заштрихованной вертикальными и горизонтальными пунктирными линиями. Отсюда ясно, что пока приведенное выше выражение (5) больше нуля, то есть имеет смысл через повышение цены pY cокращать потребление и выпуск товара Y, расширяя тем самым потребление и выпуск товара X.
Единственный рычаг, которым "творец политики" может манипулировать в рассматриваемой нами модели, - это цена товара Y. Поэтому принципиальное значение приобретает критерий, на основе которого эта цена определяется. Если мы перепишем выражение (5) для pY, то получим:

Если ΔpY и ΔpX стремятся к нулю, то можно игнорировать последнее произведение в уравнении. Следовательно, pY должно определяться из:
, (6)
|
Отношение ΔqX / ΔqY имеет определяющее значение. Если оно меньше нуля, то товары являются взаимозаменяемыми, а если положительное, то - взаимодополняющими.
Следовательно, уравнение (6) говорит о том, что цена товара Y должна быть установлена выше предельных издержек, когда товары взаимозаменяемые (т. е. если выражение ΔqX / ΔqY отрицательное, то [- ΔqX / ΔqY(pX - MCX)]имеет положительное значение). Величина превышения ценой предельных издержек зависит от превышения ценой товара X его предельных издержек. Само собой разумеется, что при наличии взаимодополняющих товаров выражение ΔqX / ΔqY положительно, и тогда pY должно быть ниже когда pX > MCX.
Интуитивно должно быть ясно, что стоит за только что сформулированным правилом.
Если, как в приведенном выше примере, цена товара X выше предельных издержек, то, согласно Парето, товара X выпущено слишком мало. Потребители товара Х готовы платить выше предельных издержек его производства. Тот же факт, что цена на товар Y сознательно установлена выше его предельных издержек, означает, что в случае взаимозаменяемости спрос на него уменьшится и соответственно возрастет спрос на товар X. Больше ресурсов переместится в сферу производства товара X (где они более продуктивны) за счет сокращения их в производстве товара Y (где они менее продуктивны). Положительный баланс выигрыша и потери говорят о необходимости действовать дальше в этом же направлении. В выбранном нами примере "творец политики" косвенно влияет на поведение агентов через изменение цены, не имея непосредственных рычагов воздействия на них. Вполне можно представить себе, как он шаг за шагом нащупывает цену (точнее говоря, величину ее отклонения от предельных издержек), которая, при имеющихся неустранимых ограничениях на достижение "первого наилучшего", дает оптимальный результат для благосостояния общества. Такая политика получила название "поэтапной политики "второго наилучшего"" (piecemeal second-best policy).
Однако насколько реально проводить такую политику? Надо еще раз подчеркнуть, что для нее существует огромный информационный барьер. Во-первых, нужно знать все, что касается отношения между товарами, являются ли они взаимозаменяемыми или взаимодополняющими и в какой мере. Во-вторых, необходимо знать, насколько отклоняются цены на все прочие товары от предельных издержек. Хотя в некоторых случаях можно как-то сэкономить на сборе информации. Так, если, например, уголь производится в общественном секторе, а все остальные энергетические ресурсы (нефть, газ) - в частном с высокой степенью монополизации, то по меньшей мере очевидно, что цена угля должна превышать предельные издержки. Другое дело, что очень трудно, а скорее всего невозможно, установить оптимальную по критерию "второго наилучшего" величину этого превышения (хотя бы по той причине, что предельные издержки есть всегда издержки ex ante и не фигурируют ни в каком бухгалтерском учете).
Рассмотренная концепция политики "второго наилучшего" опирается на ортодоксальные представления неоклассической школы о государственной политике, как имеющей в качестве единственной цели максимизацию общественного благосостояния. Школа "общественного выбора" (см. лекцию 46) отвергает такое представление. Она исходит из того, что "творцы политики", как и все прочие люди, максимизируют собственное благосостояние и в этих целях зачастую сознательно вносят ограничения, препятствующие достижению "первого наилучшего", если таковые приносят им выгоду.[8] Отсюда делается вывод, что политика "второго наилучшего" бессмысленна, так как главным образом предполагает лечение болезни лекарем, ее намеренно породившим.
Одним из подтверждений своей позиции представители школы "общественного выбора" считают тот факт, что реально никто никогда такую политику не проводил и она является не практическим руководством для властей, а чисто умозрительной теоретической конструкцией.
[7] Lipsey R., Lancaster K. The general theory of second best // Rev. Econ. Studs. 1956. Vol. 24(1). P. 11. Сам же термин "второе наилучшее" был впервые употреблен лауреатом Нобелевской премии по экономике Дж. Мидом годом раньше (Meade J. The theory of international economic policy. Vol. 2: Trade and welfare. Oxford, 1955).
[8] Одним из близких жителям Санкт-Петербурга примеров могут служить многочисленные попытки городских властей ограничить ларечную и уличную торговлю. Горожане заключают здесь добровольные взаимовыгодные сделки, однако власти под различными предлогами препятствуют им в этом. Такое поведение властей позволяет предполагать наличие у них общности интересов с крупными стационарными предприятиями розничной торговли, которые не заинтересованы в конкурентах.
ЗАДАЧИ
1. Предположим, что индивид 1 обладает 78 ед. блага Х и ни одной единице блага Y. Его функция полезности U1 = X1Y1 + 2X1 + 5Y1. Допустим, что индивид 2 обладает 164 ед. блага Y и ни одной единицей блага X. Его функция полезное U2 = X2Y2 + 4X2 + 2Y2. Подсчитайте, каковыми будут соотношения равновесных цен и какова паретто-эффективная комбинация благ (подсказка: для решения используйте понятие избыточного спроса индивидов на блага Х и Y - EX1, EY1, EX2, EY2, выразите через них X1, Y1, X2, Y2 в соответствующих функциях полезности индивидов).
2. Предположим, что в экономике два индивида (индивид 1 и индивид 2), два блага (X и Y). Каждый из индивидов является потребителем благ, поставщике труда (в количестве 50 чел.-ч) и владельцем фирмы. Фирма А принадлежит индивид виду 1 и специализируется исключительно на выпуске блага X. Фирма В принадлежит индивиду 2 и специализируется исключительно на выпуске блага Y. Цены благ X и Y заданы мировым рынком. PX = 20 ден. ед., а PY = 10 ден. ед. Кроме того, нам известны производственные функции: Х = 10l1/2; Y = 8l1/2 (допустим, что величина используемого капитала постоянна); функции полезности индивидов U1 = Х1/21 Y1/21; U1 = Х1/41 Y3/41.
Найти равновесные ставку заработной платы (w*), выпуск (X*, У*), доходы индивида 1 и индивида 2 (I*1, I*2), объемы потребления индивида 1 и индивида 2(X*1, Y*1, X*2, Y*2), а также экспорт и импорт (e*x и e*y), т. е. необходимые продажи 1 закупки на мировом рынке для достижения оптимального потребления.
3. Одинокий дачник на своем участке производит два блага (X и Y). Его производственные функции: X = K1/3L2/3 и Y = K2/3L1/3, а функция полезности U = ХY.
Как он должен распределить суммарное количество капитала (K = KX + KY) и труда (L = LX+ LY) между производством двух благ?
4. Кривая трансформации определена как X2 + Y2 = 20. Функция полезности индивида А: UA = XAYA, а индивида В: UB = XBYB. Производство и потребление индивидов представлено в таблице:
| Х | У | |
| Индивид А | ||
| Индивид В |
а) Достигается ли эффективность структуры продукции?
б) Должен ли выпуск блага Х быть увеличен или уменьшен, если мы хотим добиться парето-улучшения?
Лекция 43. Эффективность и справедливость
РАЗДЕЛ 0. У БАРБОСА ЕСТЬ ВОПРОСЫ. Как из частных выгод сделать общественное благосостояние?
БАРБОС. Частные выгоды - это каждая дворняжка понимает. Даже мой хозяин, и тот не всегда их чурается. Вот у бультерьера Сима хозяин... Тут на днях слышал, про него говорили, что он даже из общественного благосостояния частные выгоды сделал!
АНТОН. Игорь, знаешь новость? В этом году Амартия Сен удостоен Нобелевской премии по экономике. Прежде всего за работы в области экономики благосостояния...
БАРБОС. Вот как бывает! За благосостояние еще и премии дают!
ИГОРЬ. Что-то припоминаю. Когда-то ты очень обрадовался, что нашел в библиотеке его книгу. Кажется, даже название вспомнить могу. Что-то про выбор общества и благосостояние коллектива.
АНТОН. "Коллективный выбор и общественное благосостояние".
ИГОРЬ. А ты не напомнишь мне, в чем вообще тут проблема состоит?
АНТОН. Видишь ли, экономисты допускают, что каждый в состоянии проранжировать свои предпочтения относительно альтернативных состояний...
ИГОРЬ. Ну, а если чуть-чуть попроще.
АНТОН. То есть каждый может оценить, сравнить, когда ему лучше, а когда ему хуже.
ИГОРЬ. Это само собой разумеется. Любому ясно.
АНТОН. И совсем другое дело, когда появляется потребность сравнивать различные общественные состояния. Допустим, у Васи пропал валютный вклад в банке, а Петя торговал валютой у обменника и заработал 5 тыс. дол. Как ты думаешь, как оценить итог этих событий?
ИГОРЬ. А чего тут думать? Если вклад Васи больше 5 тыс., то это ухудшение, ну а если меньше, то улучшение, ведь в сумме у них тогда больше долларов на двоих стало.
АНТОН. Да ты настоящий утилитарист, сторонник учения английского философа Иеремии Бентама. Он тоже просто складывал индивидуальные благосостояния и делал такие же выводы, как и ты.
ИГОРЬ. Вот уж никак не предполагал оказаться в одной компании с философом. А что, разве это не верно?
АНТОН. Как тебе сказать. В этой части экономики нет ничего ни истинного, ни ложного. Все зависит от твоих этических установок. Здесь господствует нормативный подход.
ИГОРЬ. Да нет у меня никаких таких установок. Просто сложил плюсы и минусы и получил результат.
АНТОН. Так это и есть этическая установка. Вот, например, ответь, тебе совсем не жалко Васю? Может, он бедный, зарплату ему давно не платят, у него дети и больная мама, а это были его единственные сбережения на черный день. Тогда как Петя держал дома много долларов.
БАРБОС. Конечно, Васю жалко, но жить лучше у Пети.
ИГОРЬ. Вообще говоря, я Васе сочувствую. Но как тогда оценить произошедшее?
АНТОН. Выход предложил американский философ Роулз. Он полагает, что рост благосостояния общества определяется ростом благосостояния самых малообеспеченных. Таким образом, даже если бы Петя, торгуя валютой, стал богаче Джорджа Сороса, а Вася потерял не 5 тыс., а лишь 50 дол., то, согласно Роулзу, общество не стало бы богаче. А вот если бы богатый Петя оказался в проигрыше, а бедный Вася сумел бы стать богаче хоть на 1 дол., то благосостояние общества выросло бы.
ИГОРЬ. Что за ерунда! Кто же с этим согласится, кроме Васи?
АНТОН. А тут и появляется так называемая вуаль неведения.
ИГОРЬ. Что-что?
АНТОН. Видишь ли, никто не в состоянии знать будущее. Петя не может полностью исключать вариант, при котором его валюту отберут, "Мерседес" взорвут, квартиру сожгут. После чего ему потребуется социальная поддержка как бедняку. Даже если с ним ничего ужасного не случилось, он может согласиться с тем, что благосостояние общества растет при условии, что и самый бедный хоть немножко, но богатеет. Тем более что при этом ничто не мешает Пете богатеть еще быстрее.
БАРБОС. Что за странный человек этот самый Роулз! Вот если уличному побирушке Тузику вдруг достанется целый бифштекс, а мой хозяин уменьшит мою утреннюю порцию гречневой каши, то, что бы кто ни говорил о росте благосостояния всех собак, мне от этого определенно лучше не станет. Пусть я и остаюсь богаче Тузика, у меня все-таки есть квартира. Но все равно Роулзу я лапы при встрече не подам.
ИГОРЬ. Вот теперь я не знаю, кто и прав. Может, Бентам, а может и Роулз. Совсем ты меня запутал, Антон.
АНТОН. Успокойся, Игорь, этого никто не знает. Если только мы отходим от критерия Парето, то в умах экономистов начинается разброд.
ИГОРЬ. Зачем же от него отходят?
АНТОН. А как быть в тех случаях, когда кому-то становится хуже, а кому-то лучше? Пользуясь критерием Парето, мы здесь ничего определенного сказать не можем, а такие изменения происходят сплошь и рядом. Тем более что эти изменения давно стали политикой поиска справедливости...
ИГОРЬ. А что такое справедливость?
АНТОН. Вот, например, древнегреческий философ Платон считал, что в идеале у всех должно быть всего поровну. Такие взгляды называются эгалитаристскими.
БАРБОС. Если всем поровну и помногу, то это хорошо, а вот если мало, то пусть мне будет больше, что бы какой-то там Платон ни говорил.
, (4)
, (5)
, (6)






