Теплота испарения
Тепловые свойства
Удельной теплоемкостью (с) называется количество тепла, которое надо затратить, чтобы нагреть I кг вещества на один градус. Размерность теплоемкости обозначается Дж/кг* град.
С повышением плотности теплоемкость уменьшается, а с повышением температуры — возрастает. Зависимость с = f(t) определяется эмпирическими формулами.
Знание теплоемкости необходимо нефтепереработчику для составления тепловых балансов аппаратов и оборудования технологических установок.
Для расчета теплового баланса необходимо также знание другого важного свойства нефти и нефтепродуктов — теплоты испарения. Это энергия, которую необходимо затратить для испарения единицы массы индивидуального вещества при постоянном давлении и температуре. Так как нефтяные фракции являются смесями индивидуальных углеводородов, выкипающими в определенных интервалах температур, тепло затрачивается не только на их испарение, но и на повышение температуры смеси. Для химически чистых веществ теплоты испарения известны из справочной литературы. Для определения теплот испарения нефтепродуктов используются расчеты по формулам. С достаточной точностью можно принять следующие скрытые теплоты испарения для фракций: бензиновых 100-180°С - 290-315 кДж/кг, керосиновых 235-280°С - 250- 270 кДж/кг, дизельных 200-370°С — 230-250 кДж/кг, масляных дистиллятов 375-480°С - 190-235 кДж/кг.
|
|
|
Энтальпией (теплосодержанием) жидких нефтепродуктов называется количество тепла, которое необходимо сообщить 1 кг жидкости для нагрева ее от 0°С до заданной температуры t.
Энтальпия паров — это количество тепла, затрачиваемое на нагрев продукта от 0°С до температуры кипения, его испарение и нагрев паров до заданной температуры t. Размерность энтальпии кДж/кг.
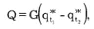
На практике при расчетах энтальпию определяют по специальным таблицам. Для составления тепловых балансов расчет количества тепла для нагрева жидкого нефтепродукта от температуры t, до t2 пользуются формулой:

где Q — количество тепла, затраченного на нагрев, кДж;
G — масса нефтепродукта, кг;
- энтальпия жидкого нефтепродукта при температурах t1 и t2, соответственно, кДж/кг.