ПРИМЕР 6
Наше предприятие собирается приобрести электронный прибор. На прибор дается заводская гарантия. Знающие люди предупредили, что в нашем городе сейчас можно приобрести приборы, выпускаемые тремя различными заводами, причем шансы получить прибор завода № 1 равны 0,6, завода № 2 – 0,3, а завода № 3 – 0,2. Какого завода попадется нам прибор, мы не знаем; а между прочим, это далеко не безразлично: вероятности того, что прибор проработает без остановки весь гарантийный срок, для каждого завода различные. На заводе № 1 – 0,9, на заводе № 2 – 0,8, на заводе №3-0,6.
Интересно, какова вероятность, что купленный прибор не придется отправлять обратно на завод? Доказано, что вероятность интересующего нас события равна сумме произведения вероятностей получения прибора того или иного завода на соответствующие вероятности их безотказной работы.
Вероятность работы прибора в течение гарантийного срока = 0,6 х 0,9 + 0,3 х 0,8 + 0,2 х 0,6 = 0,9.
Видимо, прибор покупать стоит: из десяти покупателей лишь одному не повезет.
|
|
|
Формула, по которой мы производили расчет, имеет в теории вероятностей специальное название – формула полной вероятности. Она может пригодиться при определении вероятности безотказной работы в течение заданного времени не только приборов, но и любых других современных машин или механизмов – промышленных автоматов, электронно-вычислительных машин и т. д.
Предположим, вы задались целью обязательно решить некую трудную предпринимательскую задачу, например добиться большой прибыли, выхода на зарубежный рынок, высокого качества товаров.
Задачи такие обычно решаются не сразу, для этого нужно сделать несколько попыток. Вам, конечно, интересно, сколько таких попыток потребуется.
Вероятность самого события можно рассчитать по классической формуле. Так, если вас интересует вероятность получения определенной нормы прибыли, нужно количество случаев, при которых эта прибыль была вами получена в прошлом (например, 4 раза), разделить на общее число рассматриваемых случаев (например, 20). Тогда искомая вероятность будет равна
=0,2, или 20 %.
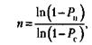
Но нас интересует не эта цифра. Наша цель – определить, сколько нужно сделать попыток п (на языке теории вероятностей – сколько нужно произвести испытаний), чтобы хотя бы одна из них (больше не требуется) гарантированно дала требуемую норму прибыли. Для решения этой задачи теория вероятности предлагает простую формулу:

где Рц есть вероятность, с которой мы хотим добиться своей цели – получить нужную норму прибыли, а Рс – вероятность самого события – получения требуемой прибыли.
По данной формуле рассчитана простая, но весьма полезная таблица, позволяющая ответить на вопрос, с которого мы начали (табл. 8.7).






