Технические требования
1. Клапанная тарелка предназначена для ректификационной колонны.
2. Рабочая среда – органические кислоты (сильноагрессивные).
3. Диаметр тарелки – 3200 мм.
4. Тарелка изготовлена из листа толщиной 2,5 мм. Диаметр отверстий под клапаны – 40 мм.
5. Материал тарелки – сталь Х17Н13М2Т.
6. Тарелку крепить болтами к опорной раме, которую приварить к корпусу колонны электродуговой сваркой (электрод ЭА-1М2).
Таблица 30.5 – Технологический процесс сборки клапанной тарелки
| № перехода | Содержание переходов | Приспособление (код, наименование) | Инструмент (код, наименование) |
| І Сварочная | |||
| Сварить раму опорную | Приспособление для сварки опорных рам | ||
| ІІ Установка клапанов | |||
| Протереть секции, клапаны; набрать секции клапанами, отогнуть лопатки под 90°, отрегулировать свободный ход клапана в отверстии | Приспособление для наборки клапанов, тросы | ||
| ІІІ Сборка тарелок с центральным сливом | |||
| Установить центральные сливные листы на болты, закрепить; править, выставить на раме балки опорные и прикрепить к раме и листам сливным, установить предварительно планки регулировочные (высота планки hпл=70 мм) Разложить прокладки на раму и балки, закрепить пружинами. Установить секции тарелки, отбойники, закрепить их | Оправка для правки балок опорных, планки, тросы | Ключи гаечные | |
| IV Сборка тарелок с боковым сливом | |||
| Установить на раму балки опорные, закрепить. Проложить прокладки, установить секции тарелки, отбойники на раму и балки, закрепить болтами со скобами и гайками с шайбами. Закрепить на болтах, выдержать высоту hпл=70 мм | Кондуктор для сборки | Ключи гаечные |
|
|
|
ПРИМЕЧАНИЯ І

Параметры шероховатости
где: l — базовая длина; m — средняя линия профиля; Smi — средний шаг неровностей профиля; Si — средний шаг местных выступов профиля; Hi max — отклонение пяти наибольших максимумов профиля; Hi min — отклонение пяти наибольших минимумов профиля; hi max — расстояние от высших точек пяти наибольших максимумов до линии параллельной средней и не пересекающей профиль; hi min — расстояние от низших точек пяти наибольших минимумов до линии параллельной средней и не пересекающей профиль; Rmax — наибольшая высота профиля; yi — отклонения профиля от линии m; P — уровень сечения профиля; bn — длина отрезков, отсекаемых на уровне P.
Высотные параметры:
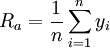
Ra — среднее арифметическое отклонение профиля;
или 
Rz — высота неровностей профиля по десяти точкам;

Шаговые параметры:
Sm — средний шаг неровностей;
S — средний шаг местных выступов профиля;
tp — относительная опорная длина профиля, где p — значения уровня сечений профиля из ряда 10; 15; 20; 30; 40; 50; 60; 70; 80; 90%.
|
|
|

Ra, Rz и Rmax определяются на базовой длине l которая может принимать значения из ряда 0,01; 0,03; 0,08; 0,25; 0,80; 2,5; 8; 25мм.
Параметр Ra является предпочтительным.
Стандарты:
§ ГОСТ 2789-73 — Шероховатость поверхности. Параметры и характеристики.
§ ISO 468:1982 — Шероховатость поверхности. Параметры, их значения и общие правила установления технических требований. (Surface roughness — Parameters, their values and general rules for specifying requirements).
Литература:
1.Анурьев В.И. Справочник конструктора-машиностроителя. В 3-х т.. — М.: Машиностроение., 2001. ISBN 5-217-02962-5
2.Богданов В.Н., Малежик И.Ф., Верхола А.П. и др. Справочное руководство по черчению.. — М.: Машиностроение., 1989. — С. 864. ISBN 5-217-00403-7






