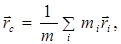
Под центром масс системы тел понимают точку в пространстве, положение которой относительно какой-либо ИСО определяется радиус-вектором
:
(2.6)
где
– сумма масс тел (м.т.) системы;
– радиус-вектор i - го тела (м.т.) системы.
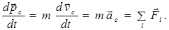
Если поместить в центр масс тело в виде материальной точки массой m, то оно будет двигаться со скоростью
:
а
(2.7)
Производная от
по времени
(2.8)
Если система является замкнутой, или внешние силы, действующие на нее, компенсируют друг друга, то ее центр масс будет двигаться равномерно и прямолинейно или покоиться.
В замкнутой системе выполняется закон сохранения импульса, согласно которому векторная сумма импульсов тел замкнутой системы остается постоянной:
(2.9)






