Прямозубое зубчатое колесо передает крутящий (вращающий) момент Т = 400 Н м. Вал выполнен из стали 45, улучшенной до 270 НВmin, колесо - из стали 40Х, улучшенной до 269...302 НВ. Сборка осуществляется нагревом колеса. Требуется подобрать посадку для передачи крутящего момента.
Решение
1. Давление р (МПа). необходимое для передачи крутящего (вращающего) момента Т (Н∙м):
.
Коэффициент запаса сцепления к = 3 (вал вращается). Коэффициент трения f = 0,14 (см. табл. 3.5.1, сталь - сталь, сборка нагревом). Размеры соединения: d = 50 мм, l = 60 мм.
Тогда
.
2. Необходимый расчетный натяг, мкм:
.
Модули упругости первого рода E1 = E2 = Eстали = 2,1 ∙ 105 МПа.
Вал - полый, диаметр отверстия в вале d1 = 10 мм. Наружный диаметр ступицы считаем равным диаметру d2.
Коэффициенты Пуассона μ = 0,3.
Коэффициенты деформации деталей С1, С2.
3. Поправка на обмятие микронеровностей uR:
uR = 6 * 0,8 + 5 * 1,6 = 12,8 мкм,
где средние арифметические отклонения профилей сопрягаемых поверхностей Ra1 = 0,8 мкм; Ra2 = 1,6 мкм; коэффициенты, зависящие от Ra1 и Ra2 к1 = 6, к2 = 5.
4. Минимально допустимый измеренный натяг [ N ].
5. Максимально допустимый прочностью деталей натяг.



При этом pT min = min (pT1 и pT2); предел текучести для материала вала σT1 = 650 МПа; предел текучести материала колеса σT2 = 750 МПа.
Тогда

6. Условия пригодности посадки имеют вид:
Np min ≥ [ N ] min = 40 мкм,
Np max < [ N ] max = 196,2 мкм,
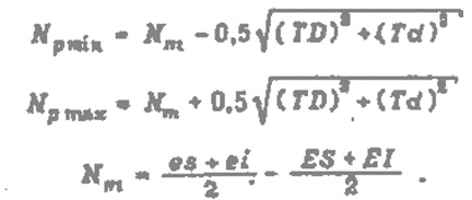
где Np min и Np max – минимальный и максимальный вероятностные натяги посадки соответственно:

Здесь Nm - средний натяг посадки; es и ei - верхнее и нижнее отклонения вала; ES и EI - верхнее и нижнее отклонения отверстия; TD и Td - допуск отверстия и вала.
7. Рассчитываем минимальный Npmin и максимальный Npmax вероятностные натяги посадок с натягом в соответствии с ГОСТ 25347-82 в системе отверстия для диаметра 60 мм при выполнении отверстия с полем допуска Н7 (табл. 3.5.2).
Таблица 5.2 - Результаты расчета, мкм

Примечание. В обоснованных случаях допускается выбор посадки, не входящей в число рекомендованных, или проведение селективной сборки.
8. Пригодна посадка Н7 / u7, у которой Npmin = 62,32 мкм > [ N ] min = 40 мкм и Npmax = 87,68 мкм < [ N ] max = 196,2 мкм.
9. Температура нагрева колеса, °С:

где zСБ - зазор для легкости сборки, zСБ = 10 мкм; α2 - коэффициент линейного расширения для материала колеса (стали), α2 = 12 ∙ 10-6 °С-1.
Тогда

[1] Встречаются соединения, в которых одна деталь охватывает другую по конической поверхности.