Рассмотрим соединение деталей с натягом по цилиндрической поверхности. Нормальное к поверхности контакта давление, возникающее при сборке за счет сил упругости, обозначено р. Рассчитывая соединение, необходимо:
- обеспечить способность соединения воспринимать заданную нагрузку;
- проверить прочность деталей соединения;
- установить необходимые условия сборки (силу запрессовки, температуру нагрева или охлаждения).

Натяг в соединении обеспечивают при изготовлении деталей по стандартным посадкам с натягом (ГОСТ 25347-82). Каждой посадке соответствует предельные значения табличных (измеренных) минимального N min и максимального N max натягов. Принимают распределение действительных размеров деталей по нормальному закону.
На рисунке показаны плотности распределения вероятностей отклонений размеров отверстий и валов от номинального размера. Предельные размеры встречаются редко. Поэтому отрезают "хвосты" распределения действительных размеров и натягов (усеченные зоны зачернены) и допускают, тем самым, определенный риск.
|
|
|

Полученные таким образом натяги называют вероятностными. При степени риска 0,27 % их определяют по зависимости
,
где Nm - средний табличный натяг;
ТD и Td - соответственно, допуски отверстия и вала.
В свою очередь
,
где es, ei - верхнее и нижнее отклонения размера вала от номинала;
ЕS, ЕI - верхнее и нижнее отклонения отверстия.
Нагрузочную способность соединения рассчитывают по минимальному вероятностному натягу посадки NP min, прочность деталей и условия сборки - по максимальному вероятностному натягу NP max.
При сборке соединения микронеровности частично деформируются, уменьшая натяг, что учитывают c помощью поправки uR:
,
где uR - поправка на обмятие микронеровностей Ra1 и Ra2 - средние арифметические отклонения профиля сопрягаемых поверхностей, мкм; к1 и к2 – коэффициенты (при Ra1 > 1,25 мкм к = 5, при Ra1 < 1,25 мкм к = 6).
Расчет соединения ведут по расчетным натягам δ, меньшим измеренных N:
δ = N - uR.
Определяют расчетные натяги δmin и δmax, соответствующие Np min и Npmax:
δmin = Np min - uR, δmax = Np max - uR.
В области упругих деформаций давления р пропорциональны расчетным натягам - натягу δmin соответствует рmin, натягу δmax - рmax.
Обеспечение способности соединения передавать заданную нагрузку
Соединение способно передавать все виды нагрузок. Осевую силу FA, крутящий (вращающий) момент T, то и другое одновременно соединение передает за счет сил трения на сопряженных поверхностях. Изгибающий момент М и радиальную силу FR - за счет перераспределения давления р.
Необходимое для передачи заданных осевой силы FA и крутящего (вращающего) момента Т давление р находят из условия предотвращения сдвига:
|
|
|
,
.
где F∑ - суммарная сила; d и l - диаметр и длина соединения; к - коэффициент запаса сцепления; f - коэффициент трения (сцепления) (табл. 3.5.1).
Таблица 3.5.1 Значения коэффициентов трения в соединениях с натягом
| Материал деталей | Коэффициенты трения f | ||
| расчет прочности соединения | определение силы прессования | ||
| сборка прессованием | сборка нагревом | ||
| Сталь - сталь | 0,08 | 0,14 | 0,22 |
| Сталь - чугун | 0,07 | 0,1 | 0,14 |
| Сталь (чугун) - бронза (латунь) | 0,06 | 0, 07 | 0,1 |
При статической нагрузке и неподвижных деталях принимают к = 2. При действии на охватываемую деталь знакопеременных напряжений изгиба (валы, вращающиеся относительно вектора нагрузки) коэффициент запаса увеличивают (можно принять к > 3).
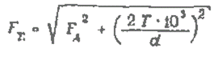
При нагружении соединения изгибающим моментом М необходимое для передачи соединением момента М давление, при котором не произойдет раскрытия стыка:
.
Аналогично, при действии радиальной силы F:
.
Нагружение соединения моментом М и силой FR не влияет на его способность передавать Т и F до тех пор, пока не произойдет раскрытие стыка.
Для передачи нагрузки пригодна посадка, у которой
pmin ≥ p,
где pmin - давление, соответствующее минимальному расчетному натягу δmin.
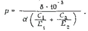
Давление р (МПа) связано с расчетным натягом δ (мкм) формулой Лямэ:
,
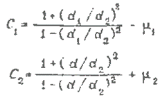
где С1 и С2 - коэффициенты деформации деталей:
.
Величины модуля упругости первого рода материалов Е и коэффициента Пуассона μ с индексом 1 относятся к охватываемой детали, с индексом 2 - к охватывающей. Для сплошного вала d1 = 0.
В проектном расчете по найденному значению р, определяют необходимый расчетный натяг δ; в проверочном расчете, зная δ, определяют соответствующее ему давление р (МПа):
.
Минимально допустимый по условию передачи заданной нагрузки измеренный натяг
,
где δ - необходимый расчетный натяг.
Проверка прочности соединяемых деталей
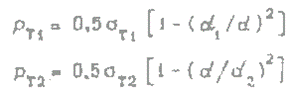
При сборке деталей соединения в них возникают напряжения. Пластические деформации могут ослабить натяг, поэтому обычно ограничивают пределами текучести наибольшие эквивалентные напряжения, возникающие в собранных деталях.
Условие отсутствия (недопустимых) пластических деформаций
Pmax < PT min,
где Рmax - давление, соответствующее максимальному расчетному натягу δmax;
PT min - меньшее из двух: рT1, рT2.
Давления рT1 и рT2, при которых возникают пластические деформации, в охватываемой и охватывающей деталях соответственно:
.
Для хрупких материалов предельно допустимые давления находят по аналогичным зависимостям, подставляя в них вместо пределов текучести σTi, условные пределы текучести, а если нет сведений о них, то - временное сопротивление σBi.
В проверочном расчете давление pmax определяют, подставив δmax в формулу вместо δ.
Максимально допустимый прочностью деталей натяг:
.
Условия пригодности посадки
В проектном и проверочном расчетах условия пригодности посадки могут быть записаны так:
Np min ≥ [N]min и Np max ≤ [N]max,
где Np min, Np max - минимальный и максимальный вероятностные натяги посадки.
Как правило, посадку назначают в системе отверстия. Подбирают ее, задаваясь полем допуска отверстия в охватывающей детали в седьмом квалитете Н7 (реже - в восьмом - Н8).
В проверочном расчете условия пригодности посадки могут быть записаны и так:
pmin ≥ p pmax < pT min.
Условия сборки
Обычно сборку осуществляют прессованием пли нагревом охватывающей детали (или охлаждением охватываемой).
Необходимую силу прессования определяют, используя зависимость

где fП - коэффициент трения при прессовании (см. табл. 3.5.1).
Температура нагрева охватывающей детали (°С), необходимая для сборки:
,
где zСБ - зазор, необходимый для обеспечения легкости сборки, обычно zСБ = 10 мкм; α2 - температурный коэффициент линейного расширения охватывающей детали: для стали 12 ∙ 10-6 °С-1, чугуна 10 ∙ 10 -6 °С-1, для бронзы 19 ∙ 10-6 °С-1.
|
|
|
Нагрев - наиболее распространенный способ сборки. Допустима та температура [ t ] нагрева, при которой не происходят структурные изменения материала: для стали [ t ] = 230... 250 °С; для бронзы [ t ] = 150...200 °С.
Температура охлаждения охватываемой детали, необходимая для сборки:
.