Домашнее Задание
Пример 13
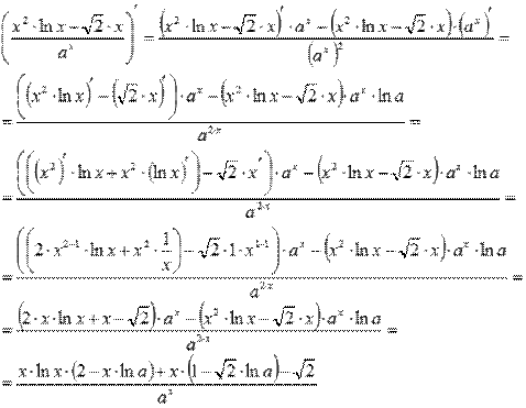
Найти производную функции
, где a – положительное действительное число.
Решение.

Первое слагаемое
.
Второе слагаемое

Третье слагаемое

Собираем все вместе:

1)
| 2)
| 3)
|
4)
| 5)
| 6)
|
7)
| 8)
| 9)
|
10)
| 11)
| 12)
|
13)
| 14)
| 15)
|
16)
| 17)
| 18)
|
19)
| 20)
| 21)
|
22)
| 23)
| 24)
|
Лекция________. Производные высших порядков
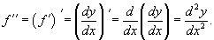
Пусть y = f (x) является дифференцируемой функцией. Тогда производная также представляет собой функцию от x. Если она является дифференцируемой функцией, то мы можем найти вторую производную функции f, которая обозначается в виде

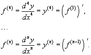
Аналогично, если f '' существует и дифференцируема, мы можем вычислить третью производную функции f:

Производные более высокого порядка (если они существуют), определяются как

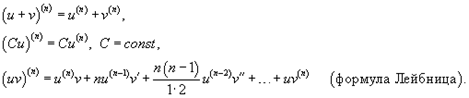
Для нахождения производных высшего порядка можно использовать следующие формулы:

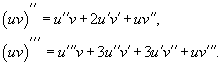
В частности, для производной второго и третьего порядка формула Лейбница принимает вид

Найти y'', если
.
Решение.
Возьмем первую производную, дифференцируя функцию как произведение:
|
|
|

Теперь найдем производную второго порядка: 






