Пример 3
Найти все производные функции
.
Решение.
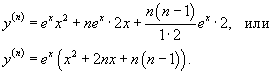
Пусть u = e x и v = x 2. Тогда

Легко устанавливаются общие формулы для производных n -порядка:

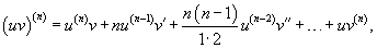
Используя формулу Лейбница 
Получаем

Определить все производные синуса.
Решение.
Вычислим несколько первых производных:

Очевидно, что производная n- го порядка выражается формулой 