СТРУКТУРИРОВАНИЕ ПРОИЗВОДСТВЕННЫХ КОМПЛЕКСОВ
Вопрос о структурировании является важным в системном анализе. Структуры в производственных системах имеют свои особенности. Если речь идёт об автоматических или поточных линиях, то структуры подобных линий определяется технологическим маршрутом. В какой последовательности реализуется технологический процесс, в такой же последовательности располагаются агрегаты в структуре. Это наиболее простой вариант формирования структур.
В условиях гибкого, переналаживаемого производства для каждой номенклатуры деталей определён свой технологический маршрут. Поскольку количество наименований деталей может быть велико, то и количество маршрутов будет соответственно возрастать.
В общем случае структура производственного участка формируется из набора частных структур для каждого технологического процесса. Эти частные структуры получаются при реализации технологических процессов обработки номенклатуры деталей. Если общая структура участка – это статическая характеристика участка, то частные структуры формируются во времени, в последовательности обработки отдельных наименований деталей и представляют динамическую характеристику участка.
|
|
|
Структуры характеризуют состав и взаимосвязи между элементами в системе.Как видно из предыдущего, частные структуры формируются во времени, и для каждой номенклатуры изделия образуется новая структура. Общая структура соответствует статической характеристике участка, сохраняя относительно постоянный вид во времени.
Различные варианты структур можно найти в литературе. В качестве факторов, влияющих на выбор структуры участка можно определить следующие:
- следует формировать структуру участка, располагая агрегаты по группам, имеющим общие функции – технологические операции;
- располагать оборудование относительно друг друга нужно с учётом минимальных транспортных затрат;
- учитывать возможность изменения номенклатуры изготовляемых изделий в будущем и др.
По первому фактору следует дать более подробные пояснения. Во-первых, количество выполняемых операций на изделиях может быть разным. Большой объём разных операций может приводить к выбору значительного количества агрегатов разных типов, хотя возможно применяться они будут к небольшой части номенклатуры деталей и составлять малую долю затраченного времени. Отдельные операции могут встречаться довольно редко. Возникает проблема выбора рационального набора типов и типоразмеров агрегатов для каждого участка. В некоторых случаях могут появляться варианты участков, построенных по технологическому признаку, для отдельных видов операций. Это может встречаться в случаях, когда некоторые операции не вписываются в общую картину технологического процесса.
|
|
|
В таких участках отсутствуют связи между агрегатами. Агрегаты выполняют отдельные операции, и изделия после выполнения отдельных операций передаются на другие участки. В качестве примера, можно назвать участки зубофрезерования, шлифования, термообработки, покрытий и др.
Что касается возможного изменения номенклатуры изделий, то в этом случае необходимо учитывать в структуре прогнозируемое изменение номенклатуры обрабатываемых изделий. А это, в свою очередь, связано с долгосрочным планированием изготовляемой продукции на предприятии.
Немалую роль для построения структуры играет степень разнообразия характеристик выпускаемой продукции. Удобнее создавать группы изделий с близкими по характеристикам параметрам. Здесь важными являются габариты и форма изделий, сложность технологических процессов, материал, программа выпуска и др. При большом количестве наименований изделий возможен вариант классификации изделий по определённым признакам.
В общем, с учётом упомянутых факторов, формируются структуры различных участков и других производственных подразделений.
Нередко возникает необходимость анализа подобного рода систем и использования результатов для решения ряда задач проектирования других подразделений и предприятий в целом.
С позиции системного подхода целесообразно анализировать производственные участки, как на функциональном, так и на структурном уровнях. После установления закономерностей на функциональном уровне для упорядочения степени разнообразия участков целесообразно применить методы структурирования.
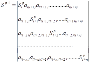
Для анализа и описания структур производственных систем нередко используется их матричное представление, а также изображение в виде графов (рис. 3.1, 3.2, 3.3). Матричная модель каждой конкретной производственной системы характеризует связанность ее структурных компонентов посредством транспортно–складской системы и описывается матрицей связей S, представляющей собой квадратичную матрицу [n´n] (n– количество структурных компонентов):

Элементы S принимают значения:


При объединении (n+1) производственных систем p –го уровня или включения их в систему высшего (p+1) –го уровня матричная модель структуры объединенной производственной системы имеет вид:
,
где:
– матричные модели производственных систем p–го уровня, входящие в состав системы (p+1)–го уровня;
al(l+1), al(l+2), …, a(l+n)(l+1) – характеристики взаимных связей между производственными системами.






