Ряд этих недостатков, по нашему мнению, можно устранить, рассмотрев различные структуры с использованием теоретических прототипов. Объекты в производственных участках и связи между ними представлены в виде касающихся кружков одинакового диаметра (рис. 3.14) Эти варианты связей имеют модульные элементы: 1. – в виде отрезка прямой (максимальное количество связей каждого элемента с другими –2), 2. – в виде треугольника (максимальное количество связей каждого элемента с другими –6), 3. – в виде четырехугольника (максимальное количество связей каждого элемента с другими –4), и 4. – в виде пятиугольника (максимальное количество связей каждого элемента с другими – 3) и т.д. Связи между элементами осуществляются в точках контакта.
Нетрудно построить возможные варианты смешанных сочетаний связей между объектами. Тогда можно было бы представить практически различные варианты типов структур с их граничными значениями CS в виде наборов модульных элементов при n®¥ (по одной, двум и трем координатам). При этом для модуля в виде отрезка прямой каждый элемент имеет две связи, и структура может развиваться по одной координате. Для структуры с модулем в виде четырехугольника каждый элемент имеет четыре связи, для структуры с модулем в виде треугольника каждый элемент имеет шесть связей и т.д., и эти структуры могут развиваться по двум координатам. Можно определить верхнюю и нижнюю границы для различных типов структур следующим образом.
|
|
|

Рис. 3.13. Фрагмент структуры пространственного типа.
Для оценки нижней границы линейных и сетевых структур выбираем простейшую линейную однорядную схему с модулем в виде отрезка прямой и
.
Для определения верхней границы линейного типа структур в качестве теоретического прототипа следует выбирать структуры с модулем в виде четырехугольника и
при изменении «n
» по двум координатам.
В рабочем диапазоне количество станков n=8 ¸ 20 значения CS для линейных структур не намного превосходит CS=3, хотя в реальных условиях эти значения могут быть 3< CS<4. Это можно объяснить появлением связей в линейных структурах, характерных для других типов структур по сравнению с теоретическим прототипом.
Для верхней границы сетевого типа структур в качестве теоретического прототипа следует выбирать структуры с модулем в виде треугольника и
, как имеющие наиболее «плотные упаковки» элементов при изменении «n
» по двум координатам.

Рис. 3.14. Фрагменты структур для теоретических прототипов
В рабочем диапазоне количество станков на участке ориентировочно 8¸20, значения CS приближается к значению 5, что и подтверждено статистическими данными, хотя при n®µ верхняя граница стремится к 6.
|
|
|
На рис. 3.15 кривые 1 и 1` характеризуют соответственно максимальное значение степени связности С
при различном количестве рабочих мест и долю занятости связей. Как видно из этих рисунков, кривая степени связности асимптотически приближается к максимальному значению С
= 2. Что касается доли занятости связей, то линейная связь дает минимальное количество свободных связей, по сравнению с другими структурами.
Структуры с модулем в виде треугольника представляют более сложные варианты структур. При соединении таких модулей получается максимально плотная упаковка рабочих мест. При такой упаковке производственная площадь, занимаемая оборудованием, является минимальной.
На рис. 3.15 кривая 2 отражает максимальные значения С
при разном числе рабочих мест m. Другие кривые (3,1) имеют более низкие значения С
. Кривая 2` показывает долю занятости связей в структурах с разным количеством объектов.
Кривые 3 и 3` относятся к варианту сетевой структуры, в которой модуль имеет вид квадрата. По сравнению с предыдущим вариантом плотность упаковки ниже, такие структуры будут занимать большую производственную площадь, соответственно будут увеличиваться транспортные затраты.
Можно был бы нанести кривые, соответствующие формам модулей в виде пяти – или шестиугольников и т.д., которые на рис. 3.15 располагались бы между кривыми 1 и 3, а также 1` и 3`. Особенностью применения структур с разной формой модуля является то, что чем больше плотность упаковки объектов, тем больше свободных связей остается для расширенной структуры.
Разные и пределы значений С
для структур с различной формой модулей с увеличением числа объектов m. Для структур с линейным модулем верхним пределом С
будет 2, для структур, имеющих модуль в виде четырехугольников, максимальное значение С
= 4, и для структур, имеющих модуль в виде треугольников, максимальное значение С
= 6. Для других форм модулей будут другие предельные значения С
.
Представление верхних границ линейных и сетевых структур на примерах с ограниченным количеством n не совсем правомерно, на наш взгляд, поскольку с увеличением n в этих структурах по одной или двум координатам появляются признаки других типов структур.
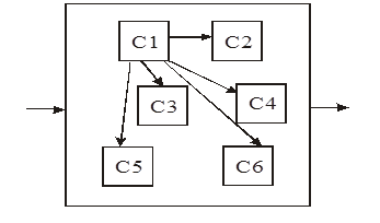
Например, структура, приведенная на рис. 3.16 и 3.17 представлена как вариант сетевой структуры с предельным значением степени связности 5:
,
.
Однако при сравнении с теоретическим прототипом для верхней границы сетевых структур видно, что в приведенном варианте структуры имеются связи, не характерные для теоретического прототипа. Они характерны для пространственного типа структур. Если применить n
по двум координатам в рассматриваемом примере, то C
8, что однозначно характеризует пространственный тип структуры.

Рис. 3.15. График взаимосвязей степени связности от числа позиций

![]() | ![]() |

Рис. 3.16. Пример структуры с обратными связями








