Типы структур и границы выбора типов структур
В работах рассматриваются 4 типа структур: с независимо работающими позициями, линейный, сетевой и пространственный. Каждому из них соответствует определенный характер производства.
Тип структур с независимой работой позиций определяет производственные участки, в которых отсутствуют внутренние связи между объектами, имеются связи элементов участка с внешними объектами.
К таким участкам можно отнести участки, где на каждом рабочем месте производится одна или несколько операций над изделиями, и далее изделие перемещается на последующие участки или в склад. В данных подразделениях реализуется схема (рис. 3.5).
Здесь С1–С7– работающие объекты в структуре; А, B, C– внешние объекты. В качестве объектов могут быть другие участки по технологическому маршруту, складские помещения, заготовительные участки, участки сборки и др. Взаимодействие этих объектов можно показать таким образом:
В структурах с независимо работающими позициями связи между объектами отсутствуют.
|
|
|
С точки зрения транспортных передвижений в структурах данного типа они могут быть интенсивными и со значительными расстояниями между объектами по сравнению с другими типами структур.
Кроме того, для данного типа структур необходимы накопительные устройства: межстаночные накопители или участковые в виде центрального склада.

Рис. 3.4. Примеры структур с коэффициентом связности 2

Рис. 3.5. Структура с независимо работающими позициями

Рис. 3.6. Схема транспортирования продукции
В последнем варианте возможна следующая структура (в упрощенном варианте рис. 3.6).
Грузы поступают на поз.1, затем через робот–штабелер (РШ) – в склад. Со склада детали поступают на работающие станки С1…С4 и снова возвращаются в склад через РШ. При появлении транспортных средств на поз. 2 РШ транспортирует готовую продукцию, и она передается далее на другие участки.
В данной схеме возникают задачи определения емкости склада или пристаночных накопителей, производительности РШ, транспортных средств на поз.1 и поз.2. Решение подобной задачи необходимо связывать с процессами, происходящими на смежных участках.
Если представить зону выбора структур с независимо работающими позициями на диаграмме
(рис.5.10), где n – число станков в структуре, то это будет точка М с координатами Сå=0 и n=1.
Уместно отметить, что данный тип структуры имеет высокую степень гибкости и практически мало зависит от степени гибкости каждого станка.
Это связано с отсутствием связей между объектами, и возможностью наращивать количество станков с увеличением номенклатуры деталей при условии обеспечения требуемой степени загрузки станков.
|
|
|
К этому типу структур можно относить те участки, у которых может быть не только одинаковое по технологическим признакам оборудование (по одинаковым операциям), но и оборудование для выполнения разных операций, не имеющих технологических связей между собой. Такие структуры могут появляться в случаях, когда отдельные операции не вписываются в участки, построенные по технологическим маршрутам, и объединяются в отдельные участки.
С точки зрения транспортных операций подобные участки создают определенные трудности и, естественно, транспортные затраты в них будут значительными.
Однако расположение оборудования на этих участках тесно взаимосвязано с положением внешних объектов с точки зрения транспортных затрат. Задача оптимизации пространственного расположения оборудования по критерию транспортных затрат для данного типа структур также является актуальной.
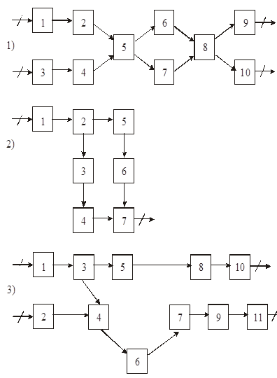
Линейный тип структур характеризуется однонаправленными связями между объектами и сравнительно невысокими значениями коэффициента связности. Предельные значения коэффициентов связности CS колеблются от 2 до 4 (рис. 3.10 кривые 1, 2). Эти предельные значения определены в производственных условиях на основе анализа статистических данных. Если минимальную границу линейного типа структур легко установить на примере простейшей структуры (рис. 3.11), а коэффициент связности для нее:

,
то верхняя граница, равная 4, определена на основании статических данных.
Реальные участки с линейным типом структур – это поточные и автоматические линии с серийным и крупносерийным характером производства.

Рис. 3.7. Пример линейной структуры с Сå=2,3

Рис. 3.8. Пример линейной структуры с Сå=2,4
На рис. 3.7 и 3.8 приведены примеры линейных структур в реальных условиях предприятий. На рис. 3.7 – это структура участка для изготовления 5 наименований деталей арматуры с годовым выпуском 74.000 деталей в год, со временем обработки каждой детали в среднем 10,6 мин. В среднем по 5 операций на деталь.
На рис. 3.8 представлена структура участка обработки 5 наименований валов грузовых автомобилей с годовым выпуском 3200 штук в год, 5,9 операций в среднем на 1 деталь, 117 мин в среднем на изготовление одной детали.
Если структура на рис. 3.7 близка к классическим линейным схемам за исключением 7 связей на предпоследнем станке, то структура на рис. 3.8 имеет связь (a, b, c), что характерно для сетевой структуры. Однако это не обратная связь, а движение потока деталей по линии II на III по связям «а» и с III на II по связям «b» и «с».
Что касается примера на рис. 3.9, то здесь хотя представлены однонаправленные связи, однако это значение Сå сохраняется при увеличении n®¥ по одной координате.

Рис. 3.9. Пример линейной структуры
Здесь:
;
.
Если увеличивать n по второй координате, то Сå будет возрастать, и при n®¥ Сå будет стремиться к 6. Следовательно, с точки зрения значения Сå эта структура не является примером линейной структуры с предельным значением
, а характерна для сетевого типа структур.
Относительно транспортных перемещений можно сказать, что транспортные затраты для линейных структур будут невелики. С увеличением Сå транспортные затраты будут возрастать.
Для сетевых структур характерным является наличие обратных связей между объектами и изменение предельных значений CS от 2 до 5. Нижняя граница может быть определена на примере простейшей структуры (рис. 3.11) аналогично линейным структурам при наличии обратных связей, а верхняя граница также определена на основании статических данных (кривые 1,3, рис. 3.10).
Сетевые структуры применяются в серийном и мелкосерийном производствах в условиях многономенклатурной обработки с ограниченными возможностями оборудования по взаимозаменяемости. Маршруты выполнения операций на оборудовании заранее определены и в процессе работы изменяются не столь часто. Структуры производственных участков также остаются неизменными. Этот тип структур встречается в гибких производственных системах, робототехнических комплексах с невысокой степенью гибкости.
|
|
|
Простейшими структурами можно принять аналогичные для линейного типа структур при наличии обратных связей между объектами.

Рис. 3.10. Взаимосвязь между степенью связности C
и количеством станков n
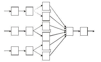
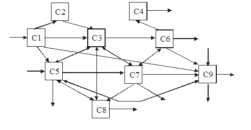
В качестве реального примера сетевой структуры можно рассмотреть следующий вариант (рис. 3.12):
Характеристика структуры:
количество станков – 9;
коэффициент связности Сå = 3,8;
количество наименований деталей – 364;
программа выпуска – 364000 дет. в год;
время обработки (в среднем на 1 деталь) –34 мин/дет.

Рис. 3.11. Простейшая структура линейного типа
На этом участке ведется обработка мелких деталей (призматические шпонки, планки, рычаги и др.)
Анализ связей между объектами в структуре показывает, что часть связей характерна для линейных структур, часть – для сетевых и часть – для пространственных. Однако по значению Сå=3,8 это может быть линейной или сетевой структурой. По формальным признакам при наличии обратных связей эта структура характеризуется как сетевая.
В качестве вывода можно сказать, что в реальных структурах могут быть признаки разных типов структур. Однако окончательное определение типа структур производится по совокупности признаков и по их значимости.
Характерной особенностью пространственного типа структур является вероятностный характер связей между объектами. Нижняя граница пространственного типа структур совпадает с верхней границей сетевых структур, а верхнюю границу легко определить на примере фрагмента структуры (рис. 3.13) с максимально возможным значением CS.
Пространственные структуры, как и сетевые, применяются в мелкосерийном и серийном производствах в условиях многономенклатурной обработки с широкими возможностями оборудования по взаимозаменяемости.
|
|
|
Маршруты выполнения операций на оборудовании носят случайных характер, структуры в процессе работы могут изменяться. Эти особенности характерны для производств с высоким техническим уровнем, с высокой степенью гибкости оборудования. Фрагмент структуры пространственного типа представлен на рис. 3.13.
Коэффициент связности для данного типа структур можно определить:
.

Рис. 3.12. Пример реальной сетевой структуры
В данном примере показаны возможные связи станка С1 с другими станками. Если предположить аналогичную картину и для других станков, то вывод подтверждается приведенной формулой.
В анализе типов структур имеется ряд недостатков: теоретически не обоснованы значения верхних границ для сетевых и линейных структур; не подтверждена возможность совпадения нижней границы пространственного типа структур с верхней границей сетевого типа структур.






