Надежность диска, работающего с пластическими деформациями, нельзя оценивать только запасами прочности по местным напряжениям Km.
Надежность диска зависит также от протяженности зон пластических деформаций. Оценка прочности диска в этих случаях производится сравнением разрушающей нагрузки с действующей или соответствующих частот вращения.
Коэффициент запаса по разрушающей частоте вращения

где ω разр - разрушающая частота вращения, при достижении которой происходит разрушение диска;
ω - максимальная рабочая частота вращения диска.
Расчет коэффициента запаса по разрушающей частоте вращения основан на представлении о том, что при достижении ωразр на поверхности, по которой происходит разрушение, максимальное напряжение (радиальное или окружное) достигает предела длительной прочности (или предела прочности для «холодных» дисков).
Обычно рассматривают два случая разрушения диска: по меридиональному и цилиндрическому сечениям.
Разрушение по меридиональному сечению характерно для дисков с плавно изменяющейся толщиной, без резких сужений. При повышении частоты вращения возникновение пластических деформаций приводит к перераспределению напряжений и постепенному их выравниванию в меридиональном сечении. Принимается, что разрушение происходит при достижении окружными напряжениями во всем этом сечении предела прочности σв.
На рисунке 8.13 показана половина диска с приложенными нагрузками. Действие отброшенной половины заменено окружными напряжениями в меридиональном сечении (в момент разрушения равны пределу прочности σв (или σtτ)).
Температура диска изменяется по радиусу, поэтому меняется и значение предела прочности.

Рисунок 8.13
Контурная нагрузка σ*Rb в момент разрушения диска связано с эксплуатационной нагрузкой σRb выражением

Равнодействующая контурных нагрузок в вертикальном направлении (ось у)

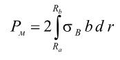
Равнодействующая окружных напряжений в меридиональном сечении в момент разрушения

Лекция №9
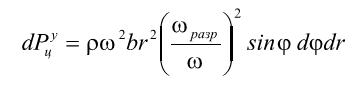
Вертикальная составляющая центробежной силы бесконечно малого элемента

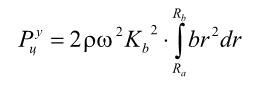
и ее равнодействующая (интегрирование от 0 до π и от Ra до Rb)

Из условия равновесия

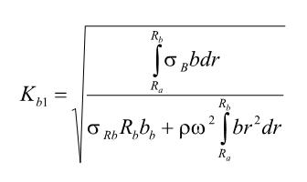
определяется запас по разрушающим оборотам

Индекс 1 в Кb1 означает; что коэффициент запаса по разрушающей частоте вращения определен для случая разрушения по меридиональной поверхности.
Разрушение по цилиндрическому сечению характерно для дисков сложного профиля. В дисках, имеющих сужение под ободом или внецентренные отверстия в полотне, радиальные напряжения на соответствующей цилиндрической поверхности могут превышать окружные. В этом случае при увеличении частоты вращения пластическая зона развивается у этой поверхности, а затем охватывает весь объем от цилиндрической поверхности до обода – рисунок 8.14.

Рисунок 8.14
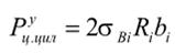
Поверхность разрушения состоит из цилиндрического участка с радиусом Ri и части меридионального сечения от радиуса Ri до наружного радиуса Rb
Условие равновесия

Усилие PyRb определяется по той же формуле, при определении Pм и Pуц интегрирование идет от радиуса Ri.
Равнодействующая напряжений в цилиндрическом сечении радиуса Ri (в момент разрушения равны σв)

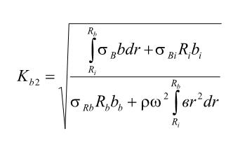
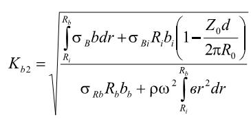
Коэффициент запаса по разрушающим оборотам

Индекс 2 в Кb2 означает, что коэффициент запаса по разрушающей частоте вращения определен для случая разрушения по цилиндрической поверхности. Для различных радиусов цилиндрических сечений значения этого коэффициента различны. Для оценки несущей способности диска необходимо найти наименьшее значение.
При наличии отверстий в полотне диска (см. рисунок 8.14)

Где Z0 - число отверстий; d – диаметр отверстий;
R0 - радиус цилиндрического сечения, в котором расположены отверстия.
Отверстия существенно снижают несущую способность диска.
Значение коэффициента запаса по разрушающей частоте вращения Кb1 должно быть не менее 1,4–1,6, Кb2 - не менее 1,35–1,6.






