Закон взаимодействия неподвижных точечных электрических зарядов установлен в 1785 г. Ш. Кулоном с помощью крутильных весов, подобных тем, которые (см. §22) использовались Г.Кавендишем для определения гравитационной постоянной (ранее этот закон был открыт Г. Кавендишем, однако его работа оставалась неизвестной более 100 лет). Точечным называется заряд, сосредоточенный на теле, линейные размеры которого пренебрежимо малы по сравнению с расстоянием до других заряженных тел, с которыми он взаимодействует. Понятие точечного заряда, как и материальной точки, является физической абстракцией.
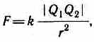
Закон Кулона: сила взаимодействия F между двумя неподвижными точечными зарядами, находящимися в вакууме, пропорциональна зарядам Q1 и Q2 и обратно пропорциональна квадрату расстояния r между ними:


где k — коэффициент пропорциональности, зависящий от выбора системы единиц.
Сила F направлена по прямой, соединяющей взаимодействующие заряды, т. е. является центральной, и соответствует притяжению (F <0) в случае разноименных зарядов и отталкиванию (F >0) в случае одноименных зарядов. Эта сила называется кулоновской силой.
|
|
|
В векторной форме закон Кулона имеет вид

где F 12— сила, действующая на заряд Q1 со стороны заряда Q2, r 12 — радиус-вектор, соединяющий заряд Q2 с зарядом Q1, r= | r 12|(рис. 117). На заряд Q2 со стороны заряда Q1 действует сила F 21=- F 12, т. е. взаимодействие электрических точечных зарядов удовлетворяет третьему закону Ньютона.
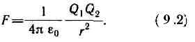
В СИ коэффициент пропорциональности равен
k=1/(4pe0).
Тогда закон Кулона запишется в окончательном виде:

Величина e0 называется электрической постоянной; она относится к числу фундаментальных физических постоянных и равна
e0=8,85•10-12Кл2/(Н•м2),
или
e0=8,85•10-12Ф/м, (78.3)
где фарад (Ф) — единица электрической емкости (см. §93). Тогда
1/(4pe0) = 9•109м/Ф.