Тело, находящееся в потенциальном поле сил (а электростатическое поле является потенциальным), обладает потенциальной энергией, за счет которой силами поля совершается работа (см. §12). Как известно (см. (12.2)), работа консервативных сил совершается за счет убыли потенциальной энергии. Поэтому работу
(83.1) сил электростатического поля можно представить как разность потенциальных энергий, которыми обладает точечный заряд Q 0 в начальной и конечной точках поля заряда Q:

откуда следует, что потенциальная энергия заряда Q 0 в поле заряда Q равна

Она, как и в механике, определяется не однозначно, а с точностью до произвольной постоянной С. Если считать, что при удалении заряда в бесконечность (r ->¥) потенциальная энергия обращается в нуль (U =0), то С =0 и потенциальная энергия заряда Q 0, находящегося в поле заряда Q на расстоянии r от него, равна

Для одноименных зарядов Q0Q>0 и потенциальная энергия их взаимодействия (отталкивания) положительна, для разноименных зарядов Q0Q<0 и потенциальная энергия их взаимодействия (притяжения) отрицательна.
|
|
|
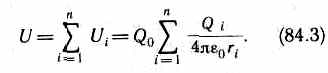
Если поле создается системой n точечных зарядов Q1, Q2,..., Qn, то работа электростатических сил, совершаемая над зарядом Q0, равна алгебраической сумме работ сил, обусловленных каждым из зарядов в отдельности. Поэтому потенциальная энергия U заряда Q0, находящегося в этом поле, равна сумме его потенциальных энергий Ui, создаваемых каждым из зарядов в отдельности:

Из формул (84.2) и (84.3) вытекает, что отношение U/Q 0не зависит от Q 0 и является поэтому энергетической характеристикой электростатического поля, называемой потенциалом:
j=U/Q0. (84.4)
Потенциал j в какой-либо точке электростатического поля есть физическая величина, определяемая потенциальной энергией единичного положительного заряда, помещенного в эту точку.
Из формул (84.4) и (84.2) следует, что потенциал поля, создаваемого точечным зарядом Q, равен

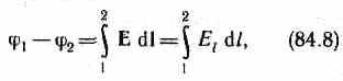
Работа, совершаемая силами электростатического поля при перемещении заряда Q 0 из точки 1 в точку 2 (см. (84.1), (84.4), (84.5)), может быть представлена как
A12==U1-U2=Q0(j1-j2), (84.6)
т. е. равна произведению перемещаемого заряда на разность потенциалов в начальной и конечной точках. Разность потенциалов двух точек 1 и 2 в электростатическом поле определяется работой, совершаемой силами поля, при перемещении единичного положительного заряда из точки 1 в точку 2.
Работа сил поля при перемещении заряда Q 0 из точки 1 в точку 2 может быть записана также в виде

Приравняв (84.6) и (84.7), придем к выражению для разности потенциалов:

где интегрирование можно производить вдоль любой линии, соединяющей начальную и конечную точки, так как работа сил электростатического поля не зависит от траектории перемещения.
|
|
|
Если перемещать заряд Q 0 из произвольной точки за пределы поля, т. е. в бесконечность, где по условию потенциал равен нулю, то работа сил электростатического поля, согласно (84.6),
A ¥= Q 0j,
Таким образом, потенциал — физическая величина, определяемая работой по перемещению единичного положительного заряда при удалении его из данной точки в бесконечность. Эта работа численно равна работе, совершаемой внешними силами (против сил электростатического поля) по перемещению единичного положительного заряда из бесконечности в данную точку поля.
Из выражения (84.4) следует, что единица потенциала — вольт (В): 1В есть потенциал такой точки поля, в которой заряд в 1 Кл обладает потенциальной энергией 1 Дж (1В=1Дж/Кл). Учитывая размерность вольта, можно показать, что введенная в § 79 единица напряженности электростатического поля действительно равна 1 В/м: 1Н/Кл=1Н• м/(Кл•м)=1 Дж/(Кл•м)=1 В/м.
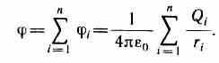
Из формул (84.3) и (84.4) вытекает, что если поле создается несколькими зарядами, то потенциал поля системы зарядов равен алгебраической сумме потенциалов полей всех этих зарядов:







