Колемаев предложил модель сбалансированного роста. Сбалансированный экономический рост рассматривается при фиксированном технологическим укладе.
Сбалансированность экономического роста понимается как выполнение на траектории роста трудового, инвестиционного и материального балансов.
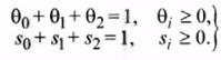
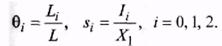
Далее будем обозначать через
доли секторов в распределении трудовых и инвестиционных ресурсов:

Из уравнений динамики фондовооруженности секторов видна центральная роль фондосоздающего сектора в развитии всей экономики. Именно его удельный выпуск определяет фондовооруженность и удельные выпуски других секторов, т.е. чем больше выпуск фондосоздающего сектора, тем больше выпуски материального и потребительского секторов при прочих равных условиях. Но увеличение удельного выпуска первого сектора требует большего «вливания» ресурсов в него и отнимает ресурсы у других секторов. Поэтому должны существовать оптимальные значения долей ресурсов, направляемых в фондосоздающий сектор.
Темпы роста м.б. разными.
Для сбалансированного роста надо чтобы Q1 и S1 были постоянны и S0/Q0 – не менялось.
Таким образом, сбалансированный экономический рост в трехсекторной экономике в направлении технологического оптимума может быть обеспечен первоначальным переливом трудовых ресурсов в фондосоздающий сектор. Из этого, в частности, следует, что сбалансированный рост не может осуществляться при фиксированной структурной политике.






