
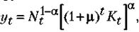
Рис. 14.9. «Омут бедности»
Динамическое равновесие, устанавливающееся при
, является неустойчивым: любое отклонение от него приводит к такому соотношению между спросом и предложением на рынке капитала, которое либо снижает капиталовооруженность труда до
, либо повышает ее до
Поэтому, если страна находится в динамическом равновесии со значениями
, то для устойчивого повышения производитель-
ности труда ей нужны большие единовременные капиталовложения: если не удастся сразу превзойти
, то восстановится исходное состояние экономики. Причиной возникновения «омута бедности» может быть зависимость темпа роста населения от капиталовооруженности и производительности труда, как показано на рис. 14.9, б. Сократить разрыв между
можно за счет увеличения нормы сбережения (сдвига кривой
вверх). Поскольку во время перехода от аграрной стадии развития к индустриальной страна, как правило, не имеет собственных средств для крупных капиталовложений, то выбраться из «омута бедности» без помощи извне ей не удается.
Экзогенный технический прогресс
В упрощенных моделях экономического роста технический прогресс предполагается экзогенно заданным и его включают в модель двумя способами.
Во-первых, технический прогресс можно рассматривать как третий фактор производства. В этом случае считают, что производительности труда и капитала со временем не изменяются и результат технического прогресса предстает в виде остатка.
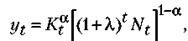
Представим зависимость между объемами используемых факторов производства и выпуском продукции функцией:
Тогда

Пример 14.4. Технология производства отображается функцией:
. Известны затраты и выпуски двух смежных периодов: Ко = 625; Щ = 256; г/о = 320; Кг = 750; Щ = 282; ух = 400. В этом случае
, т.е. 50 % прироста национального дохода за период приходится на технический прогресс.
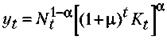
Во-вторых, экзогенный технический прогресс можно представить в виде условного роста во времени объемов применяемого труда и капитала:
. Произведения в круглых скобках представляют объемы труда и капитала, измеренные не в реальных физических единицах, а в условных единицах их эффективности. Они показывают, сколько реальных единиц каждого фактора пришлось бы использовать при фиксированной (базовой) его производительности для выпуска г/( единиц продукции при отсутствии технического прогресса.
Если сомножители At и Bt растут с постоянными темпами
и
, то

или при непрерывном росте

Частными случаями такого представления являются вменения результатов технического прогресса только одному из факторов:

Представим в условиях примера 14.3 технический прогресс в виде роста производительностей труда и капитала

Результат интерпретируется следующим образом: рост национального дохода на 25 % явился следствием либо роста производительности труда на 16,7 %, либо роста производительности капитала на 50 %.
Наглядно технический прогресс отображается сдвигом графика qt (У) вверх: при любом избранном сочетании труда и капитала выпуск продукции и средняя производительность труда увеличиваются.
Изменяя производительность факторов производства, технический прогресс воздействует на функциональное распределение национального дохода, поскольку
и
, а также на условия экономического роста при полном использовании труда и капитала. Поэтому в ходе анализа экономических последствий технического прогресса первоочередными являются два вопроса:
—как технический прогресс влияет на распределение национального дохода;
—возможен ли устойчивый рост национального дохода при полномиспользовании обоих факторов производства в условиях технического прогресса?
Технический прогресс и распределение национального дохода. Если технический прогресс не изменяет функциональное распределение национального дохода между трудом и капиталом (
), то его называют нейтральным. Постоянство долей труда и капитала в национальном доходе может сохраняться при различных стечениях обстоятельств.
Отношение
если
и
. Следовательно, если технический прогресс развивается таким образом, что при заданной капиталовооруженности труда с одинаковым темпом растут предельные производительности и труда, и капитала, то из-за того, что
и
, пропорция распределения национального дохода не изменяется. Такой тип технического прогресса называют нейтральным по Хиксу, он отображается производственной функцией:
,
где
– темп развития технического прогресса.
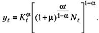
Особенности сдвига и деформации кривой
при нейтральном по Хиксу техническом прогрессе представлен на рис. 14.14 на примере функции: 
График
смещается и деформируется таким образом, что все касательные в точках, соответствующих заданному значению
, пересекают ось абсцисс в значении
; в соответствии с заданной функцией при
это значение 


Рис. 14.14. Нейтральный технический прогресс по Хиксу
Пропорция распределения национального дохода между трудом и капиталом не изменяется и в том случае, если
и 
, т.е. если при развитии технического прогресса каждому значению средней производительности капитала соответствует неизменное значение его предельной производительности. Такой вид технического прогресса называют нейтральным по Харроду. Алгебраически он отображается производственной функцией

где
— темп прироста производительности труда вследствие технического прогресса.
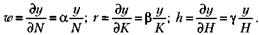
Характер сдвига и деформации графика
при нейтральном по Харроду техническом прогрессе представлен на рис. 14.15 на примере функции


Рис. 14.15. Нейтральный технический прогресс по Харроду
График
> смещается и деформируется так, что касательные в точках пересечения с лучом, представляющим заданную среднюю производительность капитала, имеют одинаковый наклон.
Соответственно, если 
и
, т.е. при развитии технического прогресса каждому значению средней производительности труда соответствует неизменное значение его предельной производительности. Такой вид технического прогресса называют нейтральным по Солоу и представляется он производственной функцией

где
— темп прироста производительности капитала вследствие технического прогресса.
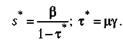
Графически нейтральный по Солоу технический прогресс изображен на рис. 14.16 на примере функции


Рис. 14.16. Нейтральный технический прогресс по Солоу
График
смещается и деформируется так, что все касательные в точках, соответствующих заданному значению qo, пересекают ось ординат в одной и той же точке.
В обобщенном виде направления изменения основных экономических параметров при рассмотренных вариантах нейтрального технического прогресса представлены в табл. 14.5.
Таблица 14.5
Характеристика различных видов
нейтрального технического прогресса*

* Параметр не изменяется «О», растет «+», уменьшается «—».
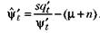
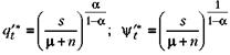
Равновесный рост при техническом прогрессе. Так как для устойчивого экономического роста с полным использованием труда и капитала требуется не только их технологическая взаимозаменяемость, но и определенное соотношение их производительностей, то не при всех разновидностях технического прогресса возможен равновесный рост. Если технический прогресс отображается в виде условного увеличения факторов производства, то устойчивый равновесный рост совместим только с нейтральным по Харроду техническим прогрессом. Это вытекает из того, что при равновесном росте
. Так как при динамическом равновесии норма сбережений постоянна, то и производительность капитала не должна изменяться, что имеет место только при нейтральном по Харроду техническом прогрессе. Для включения его в модель Солоу—Свана введем следующие обозначения:

где е – основание натурального логарифма;
– темп технического прогресса, выраженный через условное увеличение количества используемого труда за период. Тогда

В условиях модели темп прироста капитала можно представить следующей формулой:

Поэтому

Следовательно, отношение К/Е стабилизируется, когда
. Так как
то
отсюда

Поскольку
и
то их значения не изменяются соответственно при
и
г; так как
и
, то в состоянии динамического равновесия
. Следовательно, при нейтральном по Харроду техническом прогрессе в экономике устанавливается устойчивое динамическое равновесие, когда темпы роста национального дохода и капитала опережают темп роста труда на величину прироста его производительности вследствие технического прогресса, а производительность и капиталовооруженность реального труда растут с темпом (
).
На основе проведенного анализа на рис. 14.17 изображено графическое представление нейтрального по Харроду технического прогресса: кривые
смещаются так, что равновесные значения q и V|/ растут с одинаковым темпом.

Рис. 14.17. Экономический рост при нейтральном по Харроду техническом прогрессе
Если технический прогресс отображается в виде условного увеличения факторов в производственной функции Кобба–Дугласа, то он является нейтральным по Харроду. Это следует из свойств функции Кобба–Дугласа. Так, нейтральный по Солоу технический прогресс, отображающийся функцией

можно представить в виде нейтрального по Харроду

Поэтому любой тип технического прогресса, отображающийся посредством производственной функции Кобба–Дугласа, совместим с устойчивым равновесным ростом.
При нейтральном по Харроду техническом прогрессе «золотое правило» накопления остается в силе: при равенстве нормы сбережений эластичности выпуска по капиталу объем потребления на единицу эффективного труда (а следовательно, и на единицу реального труда) достигает максимума.
Эндогенный технический прогресс
Так как технический прогресс чаще всего связан со значительными затратами общества на научные исследования, образование и техническое обновление производства, то он сам зависит от уровня развития экономики. Поэтому более адекватное представление о механизме функционирования растущей экономики дают модели, в которых технический прогресс является эндогенным параметром.
В качестве примера учета технического прогресса в виде эндогенного фактора рассмотрим модель экономического роста с производственной функцией, в число аргументов которой, кроме труда и физического капитала, входит и «человеческий капитал» (SchultzТ. Investment in human capital // American Economic Revien, 1987. Vol. 77; Maussner A., Klump R. Wachstumtheorie. Berlin, 1996. S. 72—77.). Под ним в данном случае подразумевают особые способности работника, повышающие результативность его труда и приобретенные вследствие затрат на получение образования и квалификации.
В экономике, имеющей постоянный темп прироста населения и предложения труда (n), технология производства отображается производственной функцией Кобба—Дугласа:

где Н — объем человеческого капитала, измеряемого в условных единицах «образованности», наподобие того, как физический капитал измеряется в единицах некоторого стандартного вида техники.
Хозяйство ведется в условиях совершенной конкуренции, поэтому факторы производства оплачиваются по ценам, равным их предельным производительностям

Представительное домашнее хозяйство распределяет все имеющееся у него время (Г), сверх необходимого для отдыха, между работой (N) и учебой (Е). Поэтому уравнение бюджета времени г-го домашнего хозяйства имеет вид
(14.10)
Объем приобретаемого за время учебы человеческого капитала зависит не только от выделенного индивидом времени, но и от количества произведенного государством общественного блага (В) — инфраструктуры образования, измеряемого объемом затрат на его производство
(14.11)
Формула (14.11) есть производственная функция создания человеческого капитала. Общественным благом все население может пользоваться бесплатно; его производство финансируется за счет подоходного налога.
Цель домашнего хозяйства — распределить свое время между трудом и учебой так, чтобы максимизировать доход от труда и человеческого капитала. Формально задача состоит в том, чтобы максимизировать сумму (
) при ограничениях (14.10) и (14.11). Для решения задачи составим функцию Лагранжа

Она достигает максимума при
(14.12)
(14.13)
(14.14)
Подставив формулы (14.12) и (14.13) в выражение (14.14), после преобразований получим
(14.15)
Из производственной функции (14.7) следует, что

Поэтому условие максимизации дохода отдельным домашним хозяйством (14.15) можно записать в виде
(14.16)
Поскольку при заданной технологии
то
(14.17)
где X — число всех домашних хозяйств.
Из равенств (14.16) и (14.17) следует, что
(14.18)
Таким образом, пропорция, в которой представительное домашнее хозяйство распределяет имеющееся у него время между работой и учебой, постоянна и зависит только от технологии производства национального дохода и общественного блага; так как
, то и число часов, уделяемое работе и учебе, не изменяется во времени: 
Запишем равенство (14.15) в темпах прироста:
так как
, то
(14.19)
Соответственно из условия: _
и
следует, что

Отсюда
. Поэтому равенство (14.19) можно записать в виде
(14.20)
Равенство (14.20) выражает зависимость между темпами роста человеческого капитала и общественного блага. Приращение последнего за период равно собираемым за этот срок налогам
(14.21)
Прирост физического капитала за период равен объему сбережений
(14.22)
Поскольку рост предложения труда экзогенно задан, то зависимости (14.21) и (14.22) определяют возможности стабильного роста национального дохода, производимого по технологии

Можно доказать, что в рассматриваемой модели устойчивое динамическое равновесие наступает при постоянных коэффициентах капиталоемкости (
) и «образованиеемкости» (
) национального дохода. С учетом этого определим величину равновесного темпа прироста. Запишем уравнение производственной функции в темпах прироста
(14.23)
Так как
, а
(см. выражение (14.20)), то

Следовательно, равновесный темп прироста национального дохода
(14.24)
Так как
, то
, т.е. темп роста национального дохода превышает темп роста трудовых ресурсов. Поскольку равновесный темп роста не зависит от нормы сбережений и ставки подоходного налога, то можно определить их значения, максимизирующие фонд потребления при равновесном росте

Оптимальная норма сбережений тем меньше, а оптимальная ставка подоходного налога для финансирования производства общественного блага тем больше, чем эластичней производство национального дохода по объему общественного блага.
Модель Казанцева:

С развитием машинного производства техническая вооруженность труда возрастает ↑. От накопления средств труда зависит производительность труда.






