Для анализа воспроизводственного процесса и структурной политики недостаточно рассматривать экономику, состоящую только из двух подразделений, как это делал К. Маркс. Ведь средства производства, являющиеся продуктом первого подразделения, включают две принципиально отличные друг от друга составляющие: предметы труда, используемые в одном производственном цикле, и средства труда, принимающие участие во многих производственных циклах.
Таким образом, разделив первое подразделение на два сектора — материальный и фондосоздающий, приходим к модели трехсекторной экономики:
1) материальный (нулевой) сектор - предметы труда (топливо, электроэнергия, сырье и другие материалы);
2) фондосоздающий (первый) сектор — средства труда (машины, оборудование, производственные здания, сооружения и т.д.);
3) потребительский (второй) сектор — предметы потребления.
Предполагается, что за каждым сектором закреплены основные производственные фонды (ОПФ), в то время как трудовые ресурсы и инвестиции могут свободно перемещаться между секторами.
Кроме того, примем предположения, аналогичные сделанным в односекторной модели Солоу, которая выполняет роль базовой.
1. Технологический уклад считается постоянным и задается с помощью линейно-однородных неохлассических производственных функций:
X0 = A0Kα00L1-α00
X1 = A1Kα11L1-α11
X2 = A2Kα22L1-α22
2. Общее число занятых в производственной сфере L изменяется с постоянным темпом прироста v.
3. Лаг капиталовложений отсутствует.
4. Коэффициенты износа ОПФ μi и прямых материальных затрат а i секторов постоянны.
5. Экономика замкнутая, т.е. внешняя торговля напрямую не рассматривается.
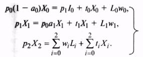
Между секторами имеют место взаимосвязи, описываемые следующими формулами:
1). Количество труда, используемое в секторах, в каждом году ограничено.
L= L0 +L1 +L2.
2). Продукция сектора 0 используется в качестве материальных затрат во всех секторах:
Х 0 = а 0 Х 0 + а 1 Х 1 + а 2 Х 2,
где а – коэффициент материальных затрат в соответствующем секторе.
3). Продукция сектора 1 идет на воспроизводство основных фондов (инвестиции) во всех трех подразделениях:
Х 1 = I 0 + I 1 + I 2 = I;
инвестиции (I), в свою очередь, используются в каждом секторе для возмещения износа (mК, m – норма амортизации)и прироста (ΔК) основных фондов. В каждой отрасли прирост капитала будет равен:
∆Ki = Ii - µKi

Рис. 2.1. Структурная схема трехсекторной экономики
Как видим, трехсекторная модель является динамической, поскольку имеет в своем составе четыре линейных динамических элемента. Она нелинейна, поскольку выпуски секторов заданы нелинейными производственными функциями. Кроме того, она многосвязна, поскольку ее состояние представлено тремя (не одной!) фазовыми (выходными) переменными Х 0, Х 1, X2, взаимосвязанными с помощью балансов.
В этих балансах проявляется эмерджентность экономической системы, т.е. наличие у нее таких общих свойств, которые не присущи составляющим ее отдельным элементам. Эти общие свойства как раз и проявляются во взаимосвязанном (взаимообусловленном) изменении фазовых переменных: каждый сектор производит не любой объем продукции, но столько, сколько нужно другим секторам и потребителям, и столько, на сколько хватит ресурсов.
Эндогенными, т.е. определяемыми с помощью модели, переменными являются ОПФ и выпуски секторов (K i, X i ).
Экзогенными, т.е. заданными извне модели, переменными (параметрами) служат: темп прироста числа занятых v, коэффициенты износа ОПФ секторов ц,-, коэффициенты прямых материальных затрат секторов а,-, начальное значение числа занятых L°, начальные значения ОПФ секторов K °, а также параметры производственных функций.
Управление осуществляется путем распределения трудовых
и инвестиционных
ресурсов.
В случае централизованной экономики это распределение реализуется директивным образом, а в децентрализованной — косвенно, с помощью цен, тарифов, налогов и других экономических инструментов.
Для анализа финансовых потоков к модели в натуральной форме (2.1.3) необходимо добавить балансы доходов и расходов секторов (
— цены, ставки налогов и годовые ставки заработной платы в секторах).
Баланс доходов и расходов материального сектора:

Баланс доходов и расходов фондосоздающего сектора:

Баланс доходов и расходов потребительского сектора:

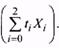
Сложив эти три уравнения, получим баланс предложения предметов потребления

В самом деле, слева в последнем уравнении — стоимость произведенных предметов потребления, а справа — суммарный доход работников производственной сферы
и суммарный доход работников непроизводственной сферы и пенсионеров 
Поскольку последнее уравнение является следствием первых трех, то независимых стоимостных балансов только три. Удобнее в качестве трех независимых балансов выбрать балансы доходов и расходов материального и фондосоздающего секторов, а также баланс предложения предметов потребления и платежеспособного спроса. Таким образом, получаем три следующих независимых стоимостных баланса:
(2 14)
Если выпуски секторов определены по натуральным балансам (2.1.3), то девять стоимостных переменных (цены, ставки налогов и заработной платы) связаны тремя стоимостными балансами (2.1.4), так что в изменении стоимостных переменных имеются шесть степеней свободы. В частности, из (2.1.4) видно, что стоимостные балансы по-прежнему будут выполнены, если цены, ставки налогов и заработной платы вырастут в одинаковое число раз.
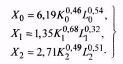
При проведении расчетов были использованы данные официальной статистики РФ за 1960—1998 гг. Стоимостные показатели пересчитаны в сопоставимые цены 1983 г. Содержательная интерпретация использованных показателей:
Хо — показатель «Производственные материальные затраты»;
Х 1 — показатель «Накопление» за вычетом показателя «Производство предметов потребления»;
Х 2 — показатель «Непроизводственное потребление».
В результате расчетов были найдены следующие производственные функции секторов:
(2.2.3)
Поскольку
то один и тот же относительный прирост фондов обеспечивает больший относительный прирост объемов выпуска продукции в обрабатывающих отраслях по сравнению с соответствующим приростом продукции в сырьевых отраслях.
Или иначе: сырьевые отрасли технологически менее развиты, чем обрабатывающие. Представляется, что соотношение (2.2.5), обнаруженное как факт для экономики Российской Федерации 1960— 1991 гг., является распространенной экономической закономерностью, которая может нарушаться только во время освоения новых крупных месторождений природных ресурсов, имеющих благоприятные условия их разработки. Косвенным подтверждением этого служит стремление развитых стран «сбросить» сырьевые отрасли в другие страны при одновременном стимулировании развития собственных обрабатывающих и наукоемких отраслей.
Таким образом, распределение ресурсов характеризуется асимметрией: большее число занятых сосредоточено в обрабатывающих отраслях, большая доля фондов — в сырьевых отраслях.
На наш взгляд, сложившаяся структура распределения ресурсов обусловлена, по крайней мере, следующими факторами:
• условия труда в сырьевых отраслях более тяжелые, чем в обрабатывающих, что предопределяет долговременную тенденцию перелива рабочей силы в обрабатывающие отрасли;
• сырьевые отрасли технологически менее развиты, что приводит к долговременной тенденции увеличения фондов в сырьевых отраслях, а это, в свою очередь, компенсирует в определенной мере их меньшую относительную фондоотдачу по сравнению с обрабатывающими отраслями;
• центральное звено экономической системы — фондосоздающий сектор, обеспечивающий полноценный воспроизводственный процесс, должен получать ресурсы в сбалансированном виде, т.е.
Долговременное применение одной и той же структурной политики в распределении инвестиций приводит к аналогичной структуре фондов, поэтому долю ОПФ можно приближенно трактовать как долю инвестиций.
В результате агрегирования межотраслевых балансов РФ за 1985—1987 гг. и осреднения коэффициентов были определены следующие коэффициенты прямых материальных затрат по секторам (руб. материалов на 1 руб. производства продукции соответствующего сектора):
Используется для моделирования процесса стагнация-застой. Надо зафиксировать поступление ресурсов в 1 секторе, L1, I1 – постоянны.
В первом секторе объём капитала стабилизируется и становится
, x1 = F1(K1,L1) и выпуск стабилизируется
стабилизация выпускав др. секторах, т.к
,
- стабилизируются
↓ объёма выпуска предметов потребления на душу населения. Ключевую роль играет первый сектор.






