
Рисунок 3.7 – Структурная схема изделия А.
Имеется схема, представленная на рисунке 3.7. Интенсивности отказов элементов: λ1=0,1 1/ч; λ2=0,2 1/ч; λ3=0,2 1/ч; λ4=0,5 1/ч. Время измерения в точках схемы: τ1=5 мин.; τ2=8 мин.; τ3=12 мин.; τ4=18 мин. Требуется составить оптимальную схему программы поиска неисправности при условии, что один их элементов изделия А отказал.
Определяются условные вероятности отказов. Для метода последовательных поэлементных проверок условные вероятности отказов q по значению соответствуют λ. Тогда q1=0,1; q2=0,2; q3=0,2; q4=0,5. Определяют частные: τ1/ q1=50; τ2/ q2=40; τ3/ q3=60; τ4/ q4=36;
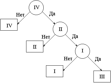
Согласно (3.8) первое измерение необходимо производить на выходе четвертого (IV) элемента. Если сигнал нужного вида на выходе элемента IV, то следует продолжать поиск и очередные измерения производить на выходе второго (II) элемента и т.д.
Для аналитического представления процесса поиска неисправности, как правило, применяют его графическое изображение в виде программы поиска неисправностей. Условное обозначение элемента производят в виде прямоугольника, а измерение в виде круга внутри с номерами элемента, за которым производится измерение. Тогда программа поиска неисправности будет представлена ветвящейся схемой, состоящей из кружочков с двумя выходами, обозначающих результат измерения (есть нужный сигнал или нет – “да” или ”нет”) и оканчивающейся прямоугольниками, обозначающими неисправный элемент.
|
|
|
Программа поиска для примера 3.1 приведена на рисунке 3.8.

Рисунок 3.8 – Программа поиска неисправностей в изделии А
Среднее время поиска неисправностей по программе вычисляется по формуле (3.13). Тогда:
ТПН=q1(τ4+τ2+τ1)+q2(τ4+τ2)+q3(τ4+τ2+τ1)+q4τ4=0.1(18+8+5)+0.2(18+6)+0.2(18+8+5)+0.5*18=23.5 мин.






