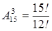
Группа из 15 человек выиграла 3 различных книги. Сколькими способами можно распределить эти книги среди группы?
= 15 ×14 ×13 = 2730.
Рассмотрим размещения, которые не являются подмножествами.
Упорядоченные выборки объемом m из n элементов, где элементы могут повторяться, называются размещениями с повторениями. Их число обозначается
(n).
Теорема 4.
(n) = nm.
Доказательство. Первый элемент может быть выбран n способами, второй элемент также может быть выбран n способами и так далее, m -й элемент также может быть выбран n способами. По принципу произведения получаем nm.
Пример 4.
Кодовый замок состоит из четырех разрядов, в каждом разряде независимо от других могут быть выбраны цифры от 0 до 9. Сколько возможных комбинаций?
Здесь n = 10, m = 4 и ответом будет 104.






