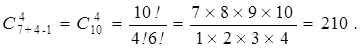
Пример 6.
В кондитерской имеется 7 видов пирожных. Покупатель берет 4 пирожных. Сколькими способами он может это сделать? (Предполагается, что пирожных каждого вида ³ 4).
Число способов будет 
Пусть V = { a, b, c }. Объем выборки m = 2. Перечислить перестановки, размещения, сочетания, размещения с повторениями, сочетания с повторениями.
1. Перестановки: { abc, bac, bca, acb, cab, cba }. P 3=3!=6.
2. Размещения: {(ab), (bc), (ac), (ba), (cb), (ca)}. 
3. Сочетания: {(ab), (ac), (bc)}. 
4. Размещения с повторениями: {(ab), (bc), (ac), (ba), (cb), (ca), (aa), (bb), (cc)}.
(3)= 32 = 9.
5. Сочетания с повторениями: {(ab), (bc), (ca), (aa), (bb), (cc)}. 






