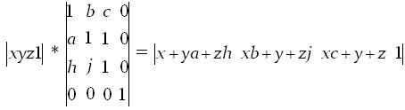
Сдвиг
Недиагональные элементы левой верхней подматрицы 3*3 в общем матричном преобразовании 4*4 осуществляют сдвиг в трех измерениях и имеют вид:

Рассмотрим несколько частных случаев вращения.
При вращении вдоль оси X, размеры вдоль оси X не изменяются.
Т.о. матрица преобразований будет иметь нули в первой строке и столбце за исключением единицы на главной диагонали.
θ - угол вращения вокруг оси X

Вращение положительно по часовой стрелке, если смотреть вдоль оси вращения с начала координат.
Для выражения на угол
около оси Y нули ставятся во второй строке и столбце матрицы преобразования, за исключением единицы на главной диагонали.
Матрица примет вид:



Аналогична матрица преобразований на угол ψ около оси Z:

Т.к. вращение описывается умножением матриц, то трехмерное вращение не коммутативно, т.е. порядок умножения будет влиять на конечный результат.






