Трехмерное преобразование и проекции
Введем трехмерные координаты. Точка (X, Y, Z, H) представляется в четырехмерном пространстве (x, y, z, 1).
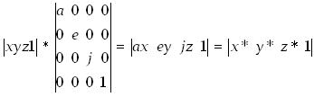
Преобразование неоднородных координат (X, Y, Z, H) в однородные (x, y, z, 1) производится через матрицу Т.
(X, Y, Z, H) = (x, y, z, 1) * Т

Рассмотрим частные случаи для данного четырехмерного преобразования.
Частное изменение масштаба:

Данное преобразование производит частное изменение масштаба.
Общее изменение масштаба получается засчет использования четвертого диагонального элемента.

,
,
.






