Рассмотрим некоторые виды средних величин, которые широко применяются в финансовых операциях. Средние величины позволяют снижать имеющуюся информацию. Так, если в отрасли занято n человек и по каждому работнику имеется информация о его доходах
). то можно, например рассчитать среднюю зарплату по отрасли, вычислив величину:
(4.2.5)
называемую средним арифметическим.
Можно также пользоваться и такой величиной, как среднее геометрическое. Пусть, например, имеются данные об индексах инфляции αi- по каждому из n лет (i = 1,n). Так как αi есть отношение уровня цен на конец i-ro года к уровню цен на начало года, то за все n лет уровень увеличивается в
раз. Поэтому для определения среднего годового индекса цен лучше использовать среднее геометрическое, равное:
. (4.2.6)
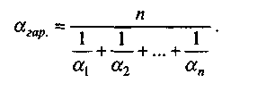
Отметим еще одну среднюю величину, которую называют средним гармоническим и равную:

Анлиз показывает, что

где
— среднее квадратическое.
Пример 4.2. Пусть в течение 1-го, 2-го и 3-го годов цены увеличивались на 30%, а в течение 4-го и 5-го годов снижались на 45%. Среднее годовое изменение уровня цен за 5 лет, полученное с помощью среднего арифметического, составит:
|
|
|

а среднее геометрическое изменение цен будет:

Так как за пять лет уровень цен действительно понизился, то можно сделать вывод, что целесообразно применять среднее геометрическое при определении среднего индекса цен за ряд последовательных лет.
Рассмотрим другой пример. Пусть в обращении имеется n наличных рублей и ti (i = 1,n) есть среднее время, в течение которого i-ый рубль находился в собственности одного человека. Среднее время, в течение которого каждый рубль принадлежит одному лицу, равно:

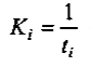
Рассмотрим другой подход. Вычислим число оборотов каждого рубля за год по формуле
и найдем среднее арифметическое числа оборотов:

и определим среднее время по формуле:

т.е. имеем среднее гармоническое оборота рублей
Если за V принять суммарный объем всех операций за год с участием наличных денег, то связь между массой наличных денег n и объемом операций имеет вид:

Анализ показывает, что среднее время, рассчитанное как среднее арифметическое, является завышенной оценкой среднего времени, рассчитанного как среднее гармоническое.






