На практике может иметь место ситуация, когда процентная ставка будет изменяться в течение срока, на которой предоставляется ссуда.
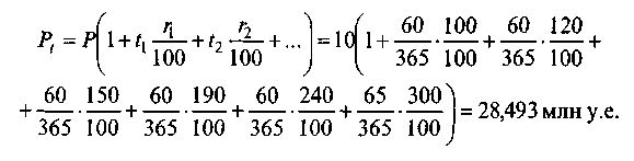
Пример 4.3. С учетом реальной экономической ситуации в стране банк поставил следующие условия выдачи ссуды в сумме 10 млн у.е. на один год: за первые 60 дней ссудный процент равен 100%; за следующие 60 дней — 120%, за следующие 60 дней — 150%, за следующие 60 дней — 190%, за следующие 60 дней — 240% и за остальные 65 дней — 300%. Требуется определить сумму, возвращенную банку.

Пример 4.4. Цена на товар понизилась на 40%, затем еще на 25%. На сколько процентов понизилась цена товара по сравнению с первоначальной ценой?
Так как проценты снижения равны r1 = 40% и r2= 25%, то индекс снижения i1 = 0,4 и i2 = 0,25. Новая стоимость товара составляет (1 - 0,4)(1 - 0,25) = 0,45 или 45% от старой, а поэтому цена товара понизилась на 100 - 45 = 55%.
Пример 4.5. За первый месяц цена товара возросла на 25%, а во втором месяце вернулась к прежнему уровню. На сколько процентов уменьшилась новая цена товара?
Если t1 — продолжительность 1-го периода ссуды, на котором используется ссудный процент rt, продолжительность 2-го периода t2, на котором используется ссудный процент r2 и т. д., то возвращаемую сумму можно определить так:
Если товар стоил 100 у.е., то после подорожания стал стоить 100(1+0,25) = 125 у.е., а затем, после снижения, стал опять стоить 100 у.е., т.е. его цена уменьшилась на
.
Пример 4.6. За год цена товара в рублях возросла на 500%, а цена того же товара в долларах возросла на 20%. На столько процентов изменился курс доллара по отношению к рублю?
Пусть товар стоил Р руб., а стал стоить (6Р) руб., т.е. его стоимость возросла на 500% или в 6 раз, в долларовом эквиваленте товар стоил D у.е., а стал стоить (1,2 D) у.е. Очевидно, что курс доллара к рублю до инфляции составлял
,
а после инфляции — 
Следовательно, курс доллара к рублю стал составлять
или повысился на 400%.






