В адиабатическом приближении для валентных электронов будем иметь уравнение Шредингера (см.2.9)

Если многоэлектронную волновую функцию искать в виде
, (*)
то одноэлектронное приближение получается тривиально, если пренебречь взаимодействием электронов (последний член). Тогда для каждого электрона получается простое уравнение

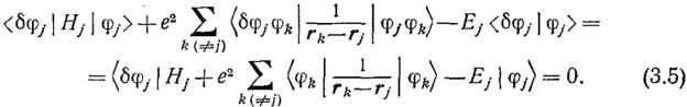
Можно учесть взаимодействие электрнов используя вариационный принцип для энергии основного состояния, которое для функции вида (*) определяется квантовомеханическим усреднением исходного гамильтониана <Φ|Hel| Φ > =E. При вариации этого состояния учитывается постоянство нормированной волновой функции
<Φ| Φ >=1. Поэтому в методе Лагранжа вводятся неопределенные множители Ej
,
где
.
Вариация этого функционала дает
откуда следует одночастичное уравнение Шредингера для электрона в кристалле в приближении Хартри

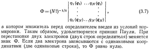
При учете наличия у частиц спина полная волновая функция должна учитывать координатные и спиновые переменные. В соответствии с принципом Паули для волнойвой функции Ферми-частиц – в ней происходит изменение знака при перестановке координат двух электронов и обращение в нуль при одинаковых значениях координат и спинов. Этому условию удовлетворяет волновая функция в виде детерминантов Слэтера
|
|
|

Аналогичная процедура вариации усредненного квантовомеханически основного состояния E =<Φ|Hel|Φ > при учете постоянства нормировки волновой функции дает

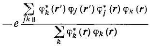
Если ввести усредненную плотность заряда
. где
, а также согласно предложению Слэтера


то из последнего уравнения можно получить (см. Маделунг. Теория твердого тала, т.1) одноэлектронный гамильтониан вида

Таким образом, наряду с вкладом в потенциал от ионов решетки в уравнении Шредингера необходимо учитывать кулоновское взаимодействие электронов с усредненной плотностью других электронов. При этом из - за принципа Паули возникает парное корреляционное взаимодействие обменной природы.







