Следствия из теоремы Блоха



Пример одномерной решетки

Приведенная зона Бриллюэна 

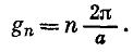
Двумерная решетка k’ = k - g

Пример разбиения двумерной зоны Бриллюэна косоугольной решетки Браве. В ячейке Вигнера-Зейтца обратной решетки содержится N=L1L2 «разрешенных» векторов kL.


Рассмотрим одномерный кристалл ограниченных размеров L=Na. Если замкнуть решетку на себя, то должны выполняться циклические условия Борна-Кармана
.
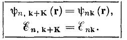
Согласно теореме Блоха
, поэтому должно быть
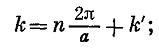
, откуда
, где 
Для первой приведенной зоны Бриллюэна
.
При четном N разрешенные значения попадают на края зоны Бриллюэна. При нечетном – не попадают.
В трехмерном случае элементарная ячейка не кубическая



Отсюда следует, что объем
, приходящийся на одно разрешенное значение
равен объему параллелепипеда с ребрами 


где N=N1N2N3 - число элементарных ячеек в кристалле.



Свойства волнового числа и квазиимпульс.












