Если в многолучевой среде, которая является весьма распространенной для сотовых систем, множественные версии сигнала пребывают на расстоянии более одного элементарного интервала друг от друга, то приемник может восстановить сигнал, соотнося элементарные последовательности с доминирующим входящим сигналом. Оставшиеся сигналы рассматриваются как шум. Однако более производительным оказывается восстановление сигналов, прошедших по разным маршрутам, и последующее их суммирование (с подходящими значениями задержек). Этот принцип используется в RAKE-приемниках.
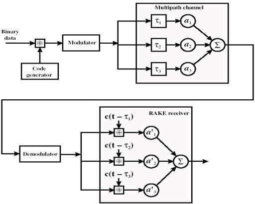
На рис. 2 проиллюстрирован принцип действия RAKE-приемника. Исходный двоичный сигнал расширяется с помощью применения к нему и раздробленному коду передатчика операции исключающего ИЛИ (XOR). Затем расширенная последовательность модулируется для передачи по беспроводному каналу связи. Из-за эффектов многолучевого распространения в канале оказывается много копий сигнала, каждая из которых имеет свое время задержки (τ1, τ2, и т.д.) и свой коэффициент затухания (а1, а2 и т.д.). В приемнике полученный сигнал демодулируется. Демодулированный поток элементов сигнала затем подается на блок корреляторов, причем каждый задерживается на определенную величину (свою для каждого сигнала). Затем сигналы суммируются с весовыми коэффициентами, подходящими для данного канала.
|
|
|

Рис. 2. Принцип работы RAKE-приемника






