Радиация излучается всеми телами, имеющими температуру выше абсолютного нуля (0К). После излучения радиация распространяется в среде, достигая других тел. Достигнув другое тело, радиация может поглощаться, отражаться, рассеиваться или переноситься. Если какое-то тело или объект излучают больше радиации, чем поглощают, то его температура уменьшается. Если поглощается больше энергии, чем излучается, то температура тела увеличивается. Другие процессы, которые влияют на изменение температуры, составляют адвекцию, конвекцию, турбулентность и обмен скрытым теплом при фазовых переходах. Эти процессы описываются в уравнении притока тепла.
Поглощение радиации происходит, когда поступившая к телу электромагнитная энергия переходит в его внутреннюю энергию. Черное тело это элемент, который поглощает всю радиацию, падающую на него. Черное тело не рассеивает и не пропускает радиацию, а только поглощает и излучает. В соответствии с законом Планка интенсивность излучаемой черным телом радиации описывается формулой:

Где
фотон/см2нм3с – фотонная постоянная,
- постоянная Больцмана. Эта интенсивность относится к определенной длине волны, поэтому называется спектральной интенсивностью радиации. В реальности вещества не являются черными телами, поэтому их излучение описывается формулой

Где
характеризует излучательную способность конкретного вещества и изменяется от 0 до 1.
Эффективная температура Земли
Чтобы поддерживать стабильный климат, Земля должна находиться в радиационном равновесии, т.е. энергия, получаемая от Солнца должна равняться энергии излучаемой в пространство.
Излучаемая солнцем радиация, как черным телом при температуре TS=5800K, за единицу времени описывается законом Стефана-Больцмана и площадью поверхности Солнца

Где RS=7х105 км – радиус Солнца. Земля находится на расстоянии d=7х105 км. Тогда поток солнечной радиации на расстоянии d будет

Если подставить численные значения, получим солнечную постоянную
FS=1370 W/m2
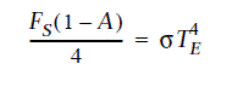
Поток солнечной радиации FS поглощается диском Земли площади p RE2. Отраженная обратно в пространство радиация определяется планетарным альбедо, которое по спутниковым измерениям A=0.28. Тогда поглощенная Землей радиация будет

На единицу поверхности Земли поглощается

Поглощенная радиация должна компенсироваться излучаемой Землей радиации ей в соответствии с законом Стефана-Больцмана

Отсюда можно вычислить эффективную температуру Земли

Если подставить численные значения TE=255K.
Реальная температура Земли 288К.
Таким образом за счет парникового эффекта нагрев поверхности составляет 33К.



















