Краткое содержание: Задачи динамики механизмов с учетом податливости звеньев (с упругими связями). Виды механических колебаний. Динамические модели механизмов с упругими связями (условия и допущения). Двухмассовая модель привода с упругими связями. Определение закона движения динамической модели. Упругие вынужденные колебания в системе. Определение собственных частот колебаний системы. Определение форм колебаний. Моделирование динамических процессов в приводе с упругими связями (влияние жесткости звеньев привода на неравномерность движения, момент в приводе и динамическую ошибку).
Задачи динамики механизмов с учетом податливости звеньев.
Звенья реальных механизмов под действием сил и моментов деформируются. При этом точки или сечения этих звеньев имеют относительные перемещения, которые влияют на их закон движения. Динамические модели реальных механизмов, учитывающие податливость звеньев делятся на дискретные модели и модели с распределенными параметрами. Дискретные модели как более простые применяются чаще. В этих моделях инерционные параметры рассматриваются как сосредоточенные в точках или сечениях звена, а податливость звена представляется как упругая связь (упругая кинематическая пара) между этими массами или моментами инерции.
|
|
|
К основным задачам динамики механизмов с упругими звеньями можно отнести:
- определение резонансных режимов работы механической системы и устранение их изменением ее динамических параметров;
- снижение виброактивности системы, уровня возбуждаемых ей звуковых (и других) колебаний;
- повышение динамической точности;
- применения вибраций или колебаний для выполнения технологический операций;
- другие задачи.
Эти задачи решаются на базе общих методов исследования динамики линейных и нелинейных механических систем. Каждая из рассматриваемых задач может быть сформулирована как прямая (задача анализа) или как обратная (задача синтеза). В прямых задачах динамики при известных динамических параметрах системы определяют закон ее движения и другие характеристики. В обратных задачах (задачах синтеза системы) – по заданным параметрам закона движения, частотам или формам колебаний определяются динамические или конструктивные параметры системы – массы, жесткости, коэффициенты демпфирования, внешние силы и другое. Решение обратной задачи или задачи синтеза более сложно, так как часто она имеет множество допустимых решений, из которых необходимо выбрать оптимальное.
Виды механических колебаний.
Механическими колебаниями (или просто колебаниями) называется такое движение механической системы при котором обобщенные координаты и их производные изменяются во времени периодически возрастая или убывая.
|
|
|
Различают следующие виды механических колебаний:
- свободные или собственные колебания – происходящие без переменного внешнего воздействия и поступления энергии извне;
- периодические – при которых значения обобщенной координаты и ее производных циклически повторяются (если это условие не выполняется, то колебания апериодические);
- вынужденные – вызываемые и поддерживаемые переменной во времени внешней силой;
- параметрические – вызываемые изменением во времени динамических параметров системы (жесткости, массы или момента инерции, демпфирования и др.);
- автоколебания – стационарные колебания возбуждаемые и поддерживаемые за счет энергии поступающей от источника неколебательного характера, в которой поступление энергии регулируется движением самой системы;
- другие виды колебаний.
Динамическая модель системы с упругими связями.
Динамическая модель- математическая модель, которая отражает изменение рассматриваемого явления во времени. При формировании модели некоторыми свойствами объекта пренебрегают (эти свойства называются допущениями), другие свойства сохраняют неизменными (эти свойства называются критериями адекватности модели исследуемому объекту). В данном случае критериями адекватности являются:
- кинетические и потенциальные энергии, которыми обладают звенья и упругие элементы объекта, равны кинетической и потенциальной энергии соответствующих элементов модели;
- работы внешних сил и моментов для объекта и модели равны;
- звенья модели (без учета их деформации) должны двигаться с одной частотой или скоростью.
При формировании дискретной динамической модели принимаем следующие допущения:
- деформация упругих связей линейна и подчиняется закону Гука;
- инерционные свойства звеньев отображаются сосредоточенными в точках массами или сосредоточенными в сечении моментами инерции;
- упругие связи между этими массами и моментами инерции считаем безинерционными;
- влиянием нерезонансных частот при резонансе пренебрегаем;
- потери энергии при деформации упругих связей не учитываем.
Двухмассовая модель привода с упругими связями.
Рассмотрим механическую систему (рис.21.1), состоящую из двигателя 1, редуктора и исполнительного устройства 2.
На рис.21.1 приняты следующие обозначения:
I1 и I2* - моменты инерции соответственно ротора двигателя и исполнительного устройства, с1 и с2* - крутильные жесткости соответственно входного и выходного валов, Мд и Мс - моменты движущих сил и сил сопротивления, угловые координаты: j 1 - ротора двигателя, j 1 ' - шестерни редуктора, j 2 ' - колеса редуктора и j 2* - исполнительного устройства.
|
| Рис. 21.1 |
Согласно принятым допущениям приведем движения всех подвижных звеньев системы к движению с частотой (или скоростью) вала двигателя. Для этого определим приведенные жесткости, моменты и моменты инерции. При этом жесткости приводятся из условия равенства потенциальных энергий деформации, моменты - из условия равенства работ, моменты инерции - из равенства кинетических энергий. Для нашего примера:
Передаточное отношение редуктора:
.
Теорема о изменении кинетической энергии:
,
где
- изменение кинетической энергии системы,
- изменение потенциальной энергии системы,
- работа внешних сил.
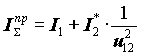
Приведенный момент инерции исполнительного устройства
.
Приведенная крутильная жесткость выходного вала
.
Приведенная угловая координата исполнительного устройства
.
Приведенный момент сопротивления на валу исполнительного устройства
.
После приведения к одной частоте вращения расчетная схема динамической модели примет вид, изображенный на рис.21.2.
|
|
|
|
| Рис. 21.2 |
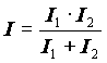
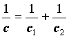
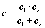
Два последовательно соединенных элемента системы можно заменить одним эквивалентным, при этом суммируются податливости этих элементов
,
.
Окончательно расчетная схема принимает вид:
|
| Рис. 21.3 |
Определение закона движения динамической модели.
Положение звеньев динамической модели определяется двумя обобщенными координатами
и
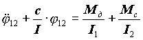
. Уравнения движения динамической модели запишем в виде условий кинетостатического равновесия звеньев 1 и 2:
, .
| (21.1) |
Разделим первое уравнение системы на I1, а второе - на I2, и получим:
, .
| (21.2) |
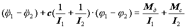
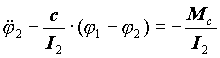
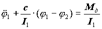
Преобразуем уравнения системы следующим образом. Вычтем и первого уравнения (21.2) второе, а затем просуммируем уравнения (21.1). Тогда системы уравнений запишется в следующем виде:
, .
| (21.3) |
Обозначим деформацию упругой связи
. Ее вторая производная по времени
, откуда
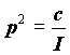
. Обозначим также:
или
и
.
Подставим эти обозначения в (21.3) и получим:
, .
| (21.4) |
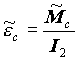
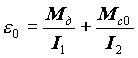
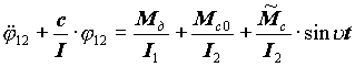
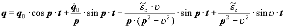
Упругие вынужденные колебания в системе.
Первое уравнение системы содержит только координату деформации упругой связи
и описывает упругие колебания в системе, второе включает и координату связанную с движением системы без деформации
. Рассмотрим решение первого уравнения системы при следующих исходных данных:
,
.
С учетом этого первое уравнение системы (21.4) запишется так:
. (21.5)
Введем следующие обозначения
,
,
,
а также:
и
, и подставим в (21.5):
. (21.6)
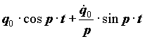
Решение этого уравнения при
и начальных условиях
:
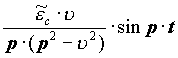
, (21.7)
| где: | - свободные колебания с частотой p, - гармонические колебания с частотой p и с амплитудой зависящей от , - вынужденные колебания с частотой возмущающей силы .
|
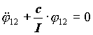
Определение собственных частот колебаний системы.
Рассмотрим свободные колебания рассматриваемой системы, то есть положим
и
. Тогда система составленная из первого уравнения (21.4) и второго уравнения (21.3) запишется так:
, .
| (21.8) |
Ищем решение этой системы в виде:
.
Для этого дифференцируем это выражение два раза:

и подставляем в систему (21.8):
,
.
Из первого уравнения если
, то
и
.
|
|
|
Из второго уравнения если
, то
и
. Нулевые частоты соответствуют движению системы без деформации.
Определение форм колебаний.
При деформации системы ее собственная частота не равна нулю
. Тогда
и
. Если принять
, то
и эпюра угловых координат по длине упругой связи будет иметь следующий вид:
|
| Рис. 21.4 |
При движении системы без деформации собственная частота колебаний равна нулю
. Тогда
,
и
. Эпюра угловых координат для движения без деформации показана на рис.21.5.
|
| Рис. 21.5 |
Пример для системы без упругих связей.
Если в рассмотренной модели принять с1 и с2 стремятся к бесконечности, то
стремится к
и
стремится к
. Расчетная схема этой динамической модели приведена на рис. 21.6, где:
Рис. 21.6
| IпрS - приведенный суммарный момент инерции ; MпрS - приведенный суммарный момент внешних сил ; DТ - изменение кинетической энергии . Уравнение движения для этой модели: .
|
Моделирование динамических процессов в приводе с упругими связями.
Рассмотренные выше уравнения движения механической системы можно использовать при моделировании поведения этой системы при различных значениях ее параметров. Ниже (на рис. 21.7) приведены результаты исследования влияния жесткости с на неравномерность вращения Dw, момент в приводе Мп и на динамическую ошибку y.
|
| Рис. 21.7 |
,
.
,
.
,
.
,
.
- свободные колебания с частотой p,
- гармонические колебания с частотой p и с амплитудой зависящей от
,
- вынужденные колебания с частотой возмущающей силы
.
,
.
Рис. 21.6
; MпрS - приведенный суммарный момент внешних сил
; DТ - изменение кинетической энергии
. Уравнение движения для этой модели:
.






