Таблица 18.2
Рис. 18.8
Таблица 18.1
Рис. 18.7
Рис. 18.2
Рис. 18.1

Существует большое количество конструкций волновых механизмов. Обычно эти механизмы преобразуют входное вращательное движение в выходное вращательное или поступательное. Волновые механизмы можно рассматривать как одну из разновидностей многопоточных планетарных механизмов, так как они обладают многозонным, а в случае зубчатого механизма, и многопарным контактом выходного звена с гибким колесом. Многозонный контакт обеспечивается за счет формы генератора волн (кулачок чаще с двумя, редко с тремя выступами), многопарный – за счет податливости зубчатого венца гибкого колеса. Такое сочетание позволяет волновым механизмам передавать значительные нагрузки при малых габаритах. Податливость зубчатого венца обеспечивает достаточно равномерное распределение нагрузки по зубьям, находящимся в зоне зацепления. При номинальных нагрузках процент зубьев находящихся в зацеплении составляет 15-25% от общего их числа. Поэтому в волновых передачах применяется мелкомодульное зацепление, а числа зубьев колес лежат в пределах от 100 до 600. Зона зацепления в волновой зубчатой передаче совпадает с вершиной волны деформации. По числу зон или волн передачи делятся на одноволновые, двухволновые и так далее. Передачи с числом волн более трех применяются редко. Распределение передаваемых усилий по нескольким зонам уменьшает нагрузку на элементы пар и позволяет существенно уменьшать габаритные размеры и массу механизмов. Многозонный и многопарный контакт звеньев существенно увеличивает жесткость механизма, а за счет осреднения ошибок и зазоров, уменьшает мертвый ход и кинематическую погрешность механизма. Поэтому волновые механизмы обладают высокой кинематической точностью и, несмотря на наличие гибкого элемента, достаточно высокой жесткостью. Образующиеся в структуре волнового механизма внутренние контуры, увеличивают теоретическое число избыточных или пассивных связей в механизме. Однако гибкое колесо за счет податливости компенсирует ряд возникающих перекосов. Поэтому при изготовлении и сборке волновых механизмов число необходимых компенсационных развязок меньше чем в аналогичных механизмах с жесткими звеньями.
|
|
|
Гибкое колесо обеспечивает волновым передачам возможность передачи движения через герметичную стенку, которая разделяет две среды (например, космический аппарат и открытый космос). При этом гибкое колесо выполняется как элемент герметичной стенки, входной вал и генератор волн располагаются по одну сторону стенки (внутри космического аппарата), а выходное звено – по другую (в космическом пространстве). Схема герметичной волновой передачи приведена на рис. 18.2.
|
|
|

Преимущества и недостатки волновых передач:
Преимущества:
- Возможность реализации в одной ступени при двухволновом генераторе волн больших передаточных отношений в диапазоне от 40 до 300.
- Высокая нагрузочная способность при относительно малых габаритах и массе.
- Малый мертвый ход и высокая кинематическая точность.
- Возможность передачи движения через герметичную перегородку.
- Малый приведенный к входному валу момент инерции (для механизмов с дисковыми генераторами волн).
Недостатки:
- Меньшая приведенная к выходному валу крутильная жесткость.
- Сложная технология изготовления гибких зубчатых колес.
Структура волновой зубчатой передачи:
Рассмотрим одноволновую зубчатую передачу с генератором волн, который образует с гибким колесом пару скольжения. Волновая передача не может рассматриваться в рамках ранее принятых нами допущений, так как в ней содержится гибкое звено. Поэтому необходимо определить место гибкого элемента в структуре механизма. Гибкая связь обычно допускает по действием силовых воздействий определенные относительные перемещения соединяемых звеньев. Поэтому ее отнесем к отношениям между элементами или к упругой кинематической паре. Зубчатое колесо представляет собой замкнутую систему зубьев. В каждый рассматриваемый момент в контакте в высшей паре могут находится один или несколько зубьев. Так как зубчатые колеса – звенья, то зубья – элементы высшей кинематической пары. Поэтому многопарный контакт между зубчатыми колесами является контактом между элементами одной кинематической пары. Пассивные или избыточные связи, возникающие в этом контакте, относятся к внутренним связям кинематической пары и в структурном анализе на уровне звеньев не учитываются. Поэтому считаем, что в зацеплении находится один зуб. Структурная схема механизма с остановленным жестким колесом при гибком соединении зуба с валом гибкого колеса может быть представлена следующем образом.
Рис. 18.3 Волновая зубчатая передача с упругой муфтой – стаканом. |
Рис. 18.4 Волновая зубчатая передача с волновой зубчатой муфтой. |
Рассмотрим звенья и кинематические пары механизмов:
- звенья:
0 - корпус с закрепленным на нем жестким колесом.
1 - быстроходный вал с генератором волн.
2 - зуб гибкого колеса.
3 - вал гибкого колеса.
А1в и Е1в - одноподвижные вращательные пары.
В2н – двухподвижная низшая пара (рис.18.5). Эта пара образована зубом гибкого колеса и кулачком генератора волн. Пара допускает два независимых движения зуба относительно кулачка: по касательной к профилю кулачка (по оси х) и в осевом направлении (по оси у). Вращение зуба вокруг оси у и перемещения его по оси z не являются независимыми и определяются формой профиля кулачка.
| Рис. 18.5 | Рис. 18.6 |
| |
D3упр – двухподвижный упругий шарнир (рис.18.6). Данная кинематическая пара должна обеспечивать зубу гибкого колеса 2 возможность выполнять движения деформации относительно вала 3, но относительные движения в тангенциальном направлении (по оси х) запрещены. Аналогичные движения обеспечивает пара D3муф в зубчатом соединении в волновой зубчатой муфте и пара С3вп в волновом зубчатом зацеплении (рис.18.7).
Оси координат в зубчатой паре направляются так:
ось z - по касательной к профилям в точке контакта, ось х – по нормали к профилям и ось у – по линии контакта зубьев.

Подвижность механизма подсчитывается следующим образом:
n = 3, p1 = 2, p2 = 1, p3 = 2.
Wпр = 6 × 3 - 5 × 2 - 4 × 1 - 3 × 2 = 18 – 20 = -2.
В механизме имеется одна местная подвижность Wм= 1 – подвижность зуба гибкого колеса в осевом направлении (по оси у).
Заданная или основная подвижность механизма W0= 1.
|
|
|
Число избыточных связей в механизме равно:
qпр = W0 + Wм + Wпр = 1+1- (-2) = 4.
Эти избыточные или пассивные связи определяют требование параллельности осей пар В,С,D и Е оси пары А.
Движение всех звеньев волнового механизма осуществляется в параллельных плоскостях. Поэтому механизм волновой зубчатой передачи можно рассматривать как плоский.
В этом случае:
n = 3; p1 = 3; p2 = 2;
Wпл = 3 × 3 - 2 × 3 - 1 × 2 = 9 – 8 = 1.
Wм= 0; W0 = 1; qпл = W0 + Wм + Wпл = 1-1 = 0.
Классификация типовых структурных схем ВЗП:
В таблице 18.1 приведены наиболее распространенные структурные схемы типовых волновых зубчатых передач, а также диапазоны рекомендуемых передаточных отношений и ориентировочные значения КПД при этих передаточных отношениях. Основное отличие одной схемы от другой заключается в конструкции муфты соединяющей гибкий зубчатый венец с корпусом или с выходным тихоходным валом. В таблице показаны только три наиболее распространенных разновидности: гибкая оболочка в форме стакана, гибкая труба с шлицевым соединением и волновая зубчатая муфта. Если в передаче с гибким колесом – кольцом (в третьей из рассматриваемых схем), второе волновое зацепление выполнить как волновую зубчатую передачу, то получим двухступечатую ВЗП.
| № | Структурная схема ВЗП | uред | h |
| 1. | | 50… 300 uh1ж= -zг / (zж-zг) | 0.95...0.8 |
| 2. | | 50… 300 uh1ж= -zг / (zж-zг) | 0.9...0.8 |
| 3. | | 2000… 105 uh1ж = z1×zг / / (z1×zг-zм×zж) | 0.2..0.01 |
| 40… 300 Если zм= z1, то uh1ж= -zг / (zж-zг) | 0.85..0.7 |
Кинематика волнового механизма:
Рассмотрим идеальную фрикционную волновую передачу. В этой передачи контактирующие поверхности гибкого и жесткого колес будут соответствовать начальным поверхностям зубчатых колес. Толщину гибкого колеса принимаем бесконечно малой. Тогда срединная поверхность гибкого колеса совпадает с его начальной поверхностью. Считаем, что срединная поверхность гибкого колеса нерастяжима, то есть длина ее до и после деформирования колеса генератором волн остается неизменной.

На рис.18.8 приняты следующие обозначения:
rwу - радиус начальной окружности условного колеса;
rwж - радиус начальной окружности жесткого колеса;
rд - радиус деформирующего диска;
rсг - радиус срединной окружности гибкого колеса;
rсу - радиус срединной окружности условного колеса;
w0 - радиальная деформация гибкого колеса.
|
|
|
Рассмотрим движение звеньев дифференциального волнового механизма относительно генератора волн.
Тогда угловые скорости звеньев изменятся следующим образом:
| Движение механизма | Звено г | Звено ж | Звено h | Звено 0 |
| относительно стойки | wг | wж | wh | w0=0 |
| относительно генератора волн | w*г=wг-wh | w*ж=wж-wh | wh-wh=0 | -wh |
В движении звеньев относительно генератора волн скорости звеньев равны угловым скоростям в движении относительно стойки минус угловая скорость генератора. Скорость точки жесткого колеса, совпадающей с полюсом зацепления VPж = (wж- wh) × rwж,а скорость точки, совпадающей с полюсом на гибком колесе VPг = (wг- wh) × rwг
В полюсе зацепления нет скольжения и VPж = VPг, а так как срединную поверхность оболочки считаем нерастяжимой то VPг = VС. Тогда для движения относительно генератора волн
VPж = (wж- wh) × rwж; VС = (wг- wh) × rwг
VPж = VС Þ (wж- wh) × rwж = (wг- wh) × rwг
(wж- wh)/ (wг- wh) = rwг / rwж = zг / zж ,
| zж × wж + (zг – zж) × wh - zг × wг = 0. |
Для волнового зубчатого редуктора (1):
- при заторможенном жестком колесе wж= 0
| uhгж = wh / wг = - zг / (zж – zг) |
- при заторможенном гибком колесе wг= 0
| uhжг = wh / wж = zж / (zж – zг) |
Расчет геометрии волнового зубчатого зацепления:
В расчете геометрии волнового зацепления существует два основных подхода. В первом методе (2) исследуется относительное движение зубьев и, на основе этого, разрабатываются рекомендации по выбору геометрических параметров зацепления. Второй метод (3) основан на использовании расчетного внутреннего зацепления жесткого колеса с условным расчетным колесом. Это колесо вписывается в деформированное гибкое колесо на участке возможного зацепления. Преимуществом первого метода можно считать относительную универсальность, которая позволяет в расчете геометрии учитывать деформации как гибкого, так и жесткого колеса под нагрузкой. Однако разработать рекомендации даже для небольшого количества конструкций ВЗП затруднительно. Второй метод позволяет использовать для расчета геометрии стандартный расчет внутреннего эвольвентного зацепления для пары колес zж и zу.
Число зубьев условного колеса рассчитывается по следующей формуле:
| zy = zг / (1 ± kb × mw) |
где:
m w= w0 / rсг - относительная деформация гибкого колеса.
kb - коэффициент, определяемый углом b
b - угловая координата участка постоянной кривизны деформированной кривой гибкого колеса.
После определения zy определяются:
- толщина гибкого колеса под зубчатым венцом hc
hc = (60 + 0,2 × zг) × m × zг × 10 –4
- коэффициент смещения гибкого колеса
xг = (ha* + c* + 0,5 × hc/m) × d
- относительная деформация
m w = w0 / rсг= ± [(zж – zг) / zг ] × g
,где при внутреннем деформировании: знак (+), d = 1, g = 0,95 …1.1
,а при внешнем деформировании: знак (-), d= 0,8.. 0,9, g = 0,85 …1.1
- радиус срединной окружности условного колеса
rcy = (zг + xг ± ha* ± c* ± 0,5 × hc/m) × m
- радиус срединной окружности гибкого колеса
rcг = (zг / zу) × rcy
- межосевое расстояние
aw = ± rcг × (1 + mw) + rcy
- угол зацепления
aw = arccos [± (zж – zy) × m × cos a ] / (2 × aw).
Далее расчет ведется по стандартному алгоритму расчета внутреннего эвольвентного зацепления (3).
Литература:
- Гинзбург Е.Г. Волновые зубчатые передачи. – Л.: Машиностроение, 1969. – 159 с., ил.
- Волновые механические передачи. Методические рекомендации. – М.: НИИИ по Машиностроению, 1976. – 83 с., ил.
- Волновые зубчатые передачи. Роботы-манипуляторы. Конспект лекций. – М.: МГТУ им. Н.Э.Баумана1980. – 58 с., ил.
Краткое содержание: Промышленные роботы и манипуляторы. Назначение и области применения. Классификация промышленных роботов. Принципиальное устройство промышленного робота. Основные понятия и определения.Структура манипуляторов. Геометро-кинематические характеристики.
Промышленные роботы и манипуляторы.
Промышленный робот – автоматическая машина, состоящая из манипулятора и устройства программного управления его движением, предназначенная для замены человека при выполнении основных и вспомогательных операций в производственных процессах.
Манипулятор – совокупность пространственного рычажного механизма и системы приводов, осуществляющая под управлением программируемого автоматического устройства или человека-оператора действия (манипуляции), аналогичные действиям руки человека.
Назначение и область применения.
Промышленные роботы предназначены для замены человека при выполнении основных и вспомогательных технологических операций в процессе промышленного производства. При этом решается важная социальная задача - освобождения человека от работ, связанных с опасностями для здоровья или с тяжелым физическим трудом, а также от простых монотонных операций, не требующих высокой квалификации. Гибкие автоматизированные производства, создаваемые на базе промышленных роботов, позволяют решать задачи автоматизации на предприятиях с широкой номенклатурой продукции при мелкосерийном и штучном производстве. Копирующие манипуляторы, управляемые человеком-оператором, необходимы при выполнении различных работ с радиоактивными материалами. Кроме того, эти устройства незаменимы при выполнении работ в космосе, под водой, в химически активных средах. Таким образом, промышленные роботы и копирующие манипуляторы являются важными составными частями современного промышленного производства.
Классификация промышленных роботов.
Промышленные роботы классифицируются по следующим признакам:
|
Принципиальное устройство промышленного робота.
Манипулятор промышленного робота по своему функциональному назначению должен обеспечивать движение выходного звена и, закрепленного в нем, объекта манипулирования в пространстве по заданной траектории и с заданной ориентацией. Для полного выполнения этого требования основной рычажный механизм манипулятора должен иметь не менее шести подвижностей, причем движение по каждой из них должно быть управляемым. Промышленный робот с шестью подвижностями является сложной автоматической системой. Эта система сложна как в изготовлении, так и в эксплуатации. Поэтому в реальных конструкциях промышленных роботов часто используются механизмы с числом подвижностей менее шести. Наиболее простые манипуляторы имеют три, реже две, подвижности. Такие манипуляторы значительно дешевле в изготовлении и эксплуатации, но предъявляют специфические требования к организации рабочей среды. Эти требования связаны с заданной ориентацией объектов манипулирования относительно механизма робота. Поэтому оборудование должно располагаться относительно такого робота с требуемой ориентацией.
Рассмотрим для примера структурную и функциональную схемы промышленного робота с трехподвижным манипулятором. Основной механизм руки манипулятора состоит из неподвижного звена 0 и трех подвижных звеньев 1, 2 и 3 (рис.19.1).
|
| Рис. 19.1 |
Механизм этого манипулятора соответствует цилиндрической системе координат. В этой системе звено 1 может вращаться относительно звена 0 (относительное угловое перемещение j10), звено 2 перемещается по вертикали относительно звена 1 (относительное линейное перемещение S21) и звено 3 перемещается в горизонтальной плоскости относительно звена 2 (относительное линейное перемещение S32). На конце звена 3 укреплено захватное устройство или схват, предназначенный для захвата и удержания объекта манипулирования при работе манипулятора. Звенья основного рычажного механизма манипулятора образуют между собой три одноподвижные кинематические пары (одну вращательную А и две поступательные В и С) и могут обеспечить перемещение объекта в пространстве без управления его ориентацией. Для выполнения каждого из трех относительных движений манипулятор должен быть оснащен приводами, которые состоят двигателей с редуктором и системы датчиков обратной связии. Так как движение объекта осуществляется по заданному закону движения, то в системе должны быть устройства сохраняющие и задающие программу движения, которые назовем программоносителями. При управлении от ЭВМ такими устройствами могут быть дискеты, диски CD, магнитные ленты и др. Преобразование заданной программы движения в сигналы управления двигателями осуществляется системой управления. Эта система включает ЭВМ, с соответствующим программным обеспечением, цифроаналоговые преобразователи и усилители. Система управления, в соответствии с заданной программой, формирует и выдает на исполнительные устройства приводов (двигатели) управляющие воздействия ui. При необходимости она корректирует эти воздействия по сигналам Dxi, которые поступают в нее с датчиков обратной связи. Функциональная схема промышленного робота приведена на рис. 19.2.
|
| Рис. 19.2 |
Основные понятия и определения. Структура манипуляторов.
Геометро-кинематические характеристики.
Формула строения - математическая запись структурной схемы манипулятора, содержащая информацию о числе его подвижностей, виде кинематических пар и их ориентации относительно осей базовой системы координат (системы, связанной с неподвижным звеном).
Движения, которые обеспечиваются манипулятором делятся на:
- глобальные (для роботов с подвижным основанием) - движения стойки манипулятора, которые существенно превышают размеры механизма;
- региональные (транспортные) - движения, обеспечиваемые первыми тремя звеньями манипулятора или его "рукой", величина которых сопоставима с размерами механизма;
- локальные (ориентирующие) - движения, обеспечиваемые звеньями манипулятора, которые образуют его "кисть", величина которых значительно меньше размеров механизма.
В соответствии с этой классификацией движений, в манипуляторе можно выделить два участка кинематической цепи с различными функциями: механизм руки и механизм кисти. Под "рукой" понимают ту часть манипулятора, которая обеспечивает перемещение центра схвата – точки М (региональные движения схвата); под "кистью" – те звенья и пары, которые обеспечивают ориентацию схвата (локальные движения схвата).
Рассмотрим структурную схему антропоморфного манипулятора, то есть схему которая в первом приближении соответствует механизму руки человека (рис.19.3).
|
| Рис. 19.3 |
Этот механизм состоит из трех подвижных звеньев и трех кинематических пар: двух трехподвижных сферических А3сф и С3сф и одной одноподвижной вращательной В1в.
Кинематические пары манипулятора характеризуются: именем или обозначением КП - заглавная буква латинского алфавита (A,B,C и т.д.); звеньями, которые образуют пару (0/1,1/2 и т.п.); относительным движением звеньев в паре (для одноподвижных пар - вращательное, поступательное и винтовое); подвижностью КП (для низших пар от 1 до 3, для высших пар от 4 до 5); осью ориентации оси КП относительно осей базовой или локальной системы координат.
Рабочее пространство манипулятора - часть пространства, ограниченная поверхностями огибающими к множеству возможных положений его звеньев.
Зона обслуживания манипулятора - часть пространства соответствующая множеству возможных положений центра схвата манипулятора. Зона обслуживания является важной характеристикой манипулятора. Она определяется структурой и системой координат руки манипулятора, а также конструктивными ограничениями наложенными относительные перемещения звеньев в КП.
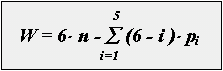
Подвижность манипулятора W - число независимых обобщенных координат однозначно определяющее положение схвата в пространстве.
|
или для незамкнутых кинематических цепей:
|
Маневренность манипулятора М - подвижность манипулятора при зафиксированном (неподвижном) схвате.
|
Возможность изменения ориентации схвата при размещении его центра в заданной точке зоны обслуживания характеризуется углом сервиса - телесным углом y, который может описать последнее звено манипулятора (звено на котором закреплен схват) при фиксации центра схвата в заданной точке зоны обслуживания.
|
где: fC - площадь сферической поверхности, описываемая точкой С звена 3, lCM - длина звена 3.
Относительная величина ky = y / (4p), называется коэффициентом сервиса. Для манипулятора, изображенного на рис.19.4,
| подвижность манипулятора: W = 6 * 3 - (3 * 2 - 5 * 1) = 18 - 11 = 7; маневренность: M = 7 - 6 = 1; формула строения: W = [q10 + j10 + y10 ] + j21 + [q32 + j32 + y32 ]. |
|
| Рис. 19.4 |
Структура кинематической цепи манипулятора должна обеспечивать требуемое перемещение объекта в пространстве с заданной ориентацией. Для этого необходимо, чтобы схват манипулятора имел возможность выпонять движения минимум по шести координатам: трем линейным и трем угловым. Рассмотрим на объекте манипулирования точку М, которая совпадает с центром схвата. Положение объекта в неподвижной (базовой) системе координат 0x0y0z0 определяется радиусом-вектором точки М и ориентацией единичного вектора
с началом в этой точке. В математике положение точки в пространстве задается в одной из трех систем координат:
- прямоугольной декартовой с координатами xM, yM, zM;
- цилиндрической с координатами rsM, j M, zM;
- сферической с координатами rM, j M, q M.
Ориентация объекта в пространстве задается углами a, b и g, которые вектор ориентации
образует с осями базовой системы координат. На рис. 19.5 дана схема шести подвижного манипулятора с вращательными кинематическими парами с координатами объекта манипулирования.
|
| Рис. 19.5 |
При структурном синтезе механизма манипулятора необходимо учитывать следующее:
- кинематические пары манипуляторов снабжаются приводами, включающими двигатели и тормозные устройства, поэтому в схемах манипуляторов обычно используются одноподвижные кинематические пары: вращательные или поступательные;
- необходимо обеспечить не только заданную подвижность свата манипулятора, но и такую ориентацию осей кинематических пар, которая обеспечивала необходимую форму зоны обслуживания, а также простоту и удобство программирования его движений;
- при выборе ориентации кинематических пар необходимо учитывать расположение приводов (на основании или на подвижных звеньях), а также способ уравновешивания сил веса звеньев.
При выполнении первого условия кинематические пары с несколькими подвижностями заменяют эквивалентными кинематическими соединениями. Пример такого соединения для сферической пары дан на рис. 19.6.
Перемещение схвата в пространстве можно обеспечить, если ориентировать оси первых трех кинематических пар по осям одной из осей координат. При этом выбор системы координат определяет тип руки манипулятора и вид его зоны обслуживания. По ГОСТ 25685-83 определены виды систем координат для руки манипулятора, которые приведены в таблице 19.1. Здесь даны примеры структурных схем механизмов соответствующие системам координат. Структурные схемы механизмов кисти, применяемые в манипуляторах, даны в таблице 19.2. Присоединяя к выходному звену руки тот или иной механизм кисти, можно получить большинство известных структурных схем манипуляторов, которые применяются в реальных промышленных роботах.
| |
| Сферическая кинематическая пара | Эквивалентное кинематическое соединение |
Рис. 19.6
| Системы координат "руки" манипулятора. | Таблица 19.1 |
| Прямоугольная (декартова) | Цилиндрическая |
| |
| Сферическая | Угловая (ангулярная) |
| |
| Другие |
| Таблица 19.2 |
|
Структура манипулятора определяется и местом размещения приводов. Если приводы размещаются непосредственно в кинематических парах, то к массам подвижных звеньев манипулятора добавляются массы приводов. Суммарная нагрузка на приводы и их мощность увеличиваются, а отношение массы манипулятора к полезной нагрузке (максимальной массе объекта манипулирования) уменьшается. Поэтому при проектировании роботов приводы звеньев руки, как наиболее мощные и обладающие большей массой, стремятся разместить ближе к основанию робота. Для передачи движения от привода к звену используются дополнительные кинематические цепи. Рассмотрим схему руки манипулятора ПР фирмы ASEA (рис.19.7). К трехзвенному механизму с ангулярной системой координат добавлены:
- для привода звена 2 - простейший кулисный механизм, образованный звеньями 4,5 и 2;
- для привода звена 3 - цепь, состоящая из кулисного механизма (звенья 6,7 и 8) и шарнирного четырехзвенника (звенья 8,9,2 и 3).
Таким образом, в рычажном механизме можно выделить кинематическую цепь руки (звенья 1,2 и 3) и кинематические цепи приводов. Манипуляторы использующие принцип размещения приводов на основании имеют более сложные механизмы. Однако увеличение числа звеньев и кинематических пар компенсируется уменьшением масс и моментов инерции, подвижных звеньев манипулятора. Кроме того, замкнутые кинематические цепи повышают точность и жесткость механизма. В целом манипуляторы, использующие принципы комбинированного размещения приводов (часть приводов на основании, часть на подвижных звеньях), обладают лучшими энергетическими и динамическими характеристиками, а также более высокой точностью.
В кинематических схемах рассмотренных манипуляторов веса звеньев вызывают дополнительную нагрузку на приводы. Фирма SKILAM разработала робот SANCIO (рис. 19.8) в котором веса приводов и звеньев воспринимаются кинематическими парами, а на момент двигателей влияют только через силы трения. Такая структурная схема механизма потребовала увеличения размеров кинематических пар, однако в целом был получен существенный выигрыш по энергетическим и динамическим показателям.
Данные примеры не охватывают всех возможных ситуаций рационального выбора структуры манипуляторов. Они только демонстрируют наиболее известные из удачных структурных схем.
| ||
| Рис. 19.7 | Рис. 19.8 | |
Важная особенность манипуляторов – изменение структуры механизма в процессе работы, о чем говорилось на лекции по структуре механизмов. В соответствии с циклограммой или программой работы робота, в некоторых кинематических парах включаются тормозные устройства. При этом два звена механизма жестко соединяются с друг другом, образуя одно звено. Из структурной схемы механизма исключается одна кинематическая пара и одно звено, число подвижностей схвата механизма уменьшается (обычно на единицу). Изменяется структура механизма и в тех случаях, когда в процессе выполнения рабочих операций (на пример, при сборке или сварке) схват с объектом манипулирования соприкасается с окружающими предметами, образуя с ними кинематические пары. Кинематическая цепь механизма замыкается, а число подвижностей уменьшается. В этом случае в цепи могут возникать избыточные связи. Эти структурные особенности манипуляторов необходимо учитывать при программировании работы промышленного робота.
Быстродействие ПР определяют максимальной скоростью линейных перемещений центра схвата манипулятора. Различают ПР с малым (VM<0.5 м/с), средним (0.5 < VM < 1.0 м/с) и высоким (VM>1.0м/с) быстродействием. Современные ПР имеют в основном среднее быстродействие и только около 20% - высокое.
Точность манипулятора ПР характеризуется абсолютной линейной погрешностью позиционирования центра схвата. Промышленные роботы делятся на группы с малой (D rM< 1 мм), средней (0.1 мм < D rM < 1 мм) и высокой (D rM< 0.1 мм) точностью позиционирования.






