Краткое содержание: Задачи механики манипуляторов. Кинематический анализ механизма манипулятора. Динамика манипуляторов промышленных роботов. Уравновешивание манипуляторов. Кинетостатический расчет манипуляторов. Расчет быстродействия привода.
Задачи механики манипуляторов.
К основным задачам механики манипуляторов можно отнести:
|
Эти задачи решаются на базе общих методов исследования структуры, геометрии, кинематики и динамики систем с пространственными многоподвижными механизмами. Каждая из рассматриваемых задач может быть сформулирована как прямая (задача анализа) или как обратная (задача синтеза). При определении функций положения механизма, в прямой задаче находят закон изменения абсолютных координат выходного звена по заданным законам изменения относительных или абсолютных координат звеньев. В обратной – по заданному закону движения схвата находят законы изменения координат звеньев, обычно, линейных или угловых перемещений в приводах. Решение обратной задачи или задачи синтеза более сложно, так как часто она имеет множество допустимых решений, из которых необходимо выбрать оптимальное. В обратной задаче кинематики по требуемому закону изменения скоростей и ускорений выходного звена определяются соответствующие законы изменения скоростей и ускорений в приводах манипулятора. Обратная задача динамики заключается в определении закона изменения управляющих сил и моментов в приводах, обеспечивающих заданный закон движения выходного звена.
|
|
|
Кинематический анализ механизма манипулятора.
Первая и основная задача кинематики – определение функции положения. Для пространственных механизмов наиболее эффективными методами решения этой задачи являются векторный метод и метод преобразования координат. При решении прямой задачи о положении схвата манипулятора обычно используют метод преобразования координат. Из множества методов преобразования координат [ 1, 2 ], которые отличаются друг от друга правилами выбора осей локальных систем координат, для манипуляторов обычно используется метод Денавита и Хартенберга.
Опишем два вида матриц:
матрицы М, определяющие отношение между системами координат соседних звеньев;
матрицы Т, определяющие положение и ориентацию каждого звена механизма в неподвижной или базовой системе координат.
Воспользуемся однородными координатами трехмерного проективного пространства РR3, в которых движение евклидова пространства R3 можно представить линейным преобразованием
|
|
|
где Мij – матрица 4x4 вида
.
Это преобразование эквивалентно преобразованию в эвклидовом пространстве
где
. То есть преобразованию, которое включает поворот, определяемый матрицей Uij размерностью 3х3, и параллельный перенос, задаваемый вектором
размерностью 3. В однородном пространстве положение точки будут определять не три x, y и z, а четыре величины x', y', z' и t', которые удовлетворяют следующим соотношениям:
x = x'/t', y = y'/t', z = z'/t'.
Обычно принимают t'=1. У матрицы поворота Uij элементами uij являются направляющие косинусы углов между новой осью i и старой осью j. Вектор
- трехмерный вектор, определяющий положение начала новой системы координат i в старой системе j. Выбор расположения осей должен соответствовать решаемой задаче. При решении задачи о положениях необходимо: в прямой задаче определить положение выходного звена как функцию перемещений в приводах, в обратной – заданное положение выходного звена представить как функцию перемещений в приводах. Выбор расположения и ориентации локальных систем координат должен обеспечивать выполнение этих задач. При использовании метода Денавита и Хартенберга оси координат располагаются по следующим правилам:
1. Для звена i ось zi направляется по оси кинематической пары, образуемой им со звеном (i+1). Начало координат размещают в геометрическом центре этой пары.
2. Ось xi направляется по общему перпендикуляру к осям zi-1 и zi с направлением от zi-1 к zi. Если оси zi-1 и zi совпадают, то xi перпендикулярна к ним и направлена произвольно. Если они пересекаются в центре кинематической пары, то начало координат располагается в точке пересечения, а ось xi направляется по правилу векторного произведения
(кратчайший поворот оси zi до совмещения с zi-1 при наблюдении с конца xi должен происходить против часовой стрелки).
3. Ось yi направляется так, чтобы система координат была правой.
В прямой задаче необходимо определить положение схвата манипулятора и связанной с ним системы координат Mxnynzn по отношению к неподвижной или базовой системе координат Kx0y0z0. Это осуществляется последовательными переходами из системы координат звена i в систему координат звена i-1. Согласно принятому методу, каждый переход включает в себя последовательность четырех движений: двух поворотов и двух параллельных переносов, осуществляемых в указанной последовательности (см. рис. 20.1):
- поворот i -ой системы вокруг оси xi на угол -qi до параллельности осей zi и zi-1 (положительное направление поворота при наблюдении с конца вектора xi против часовой стрелки);
- перенос вдоль оси xi на величину -ai до совмещения начала системы координат Oi с точкой пересечения осей xi и zi-1 (отсчет по оси xi от точки пересечения оси xi и оси zi-1);
|
| Рис. 20.1 |
- перенос вдоль оси zi-1 на величину -si, после которого начало системы координат Oi оказывается в начале координат Oi-1 системы (i-1) (отсчитывается по оси zi-1 от ее начала координат Oi-1 до точки ее пересечения с осью xi);
- поворот вокруг оси zi-1 на угол -ji, до тех пор пока ось xi не станет параллельной оси xi-1 (положительное направление поворота при наблюдении с конца вектора zi-1 против часовой стрелки).
Необходимо отметить, что знак угла поворота не имеет значения, так как в матрицах перехода используются направляющие косинусы (четные функции). Целесообразно рассматривать угол, обеспечивающий кратчайший поворот оси старой системы i до совмещения (параллельности) с соответствующей осью новой (i-1). Перемещения начала координат определяются как координаты начала старой системы Oi в новой Oi-1.
В манипуляторах обычно используются одноподвижные кинематические пары или вращательные, или поступательные. Оба относительных движения как вращательное, так и поступательное, реализуются в цилиндрических парах. Поэтому при общем представлении механизма используются (рис.20.1) цилиндрические пары.
Матрицы перехода их системы Oi в систему Oi-1 можно записать так:
|
|
|
,
| где: | | - матрица поворота вокруг оси xi на угол -qi, |
| - матрица переноса вдоль оси xi на -ai, | |
| - матрица переноса вдоль оси zi-1 на -si, | |
| - матрица поворота вокруг оси zi-1 на угол -ji. |
В этих матрицах переменные si и j i соответствуют относительным перемещениям звеньев в кинематических парах и являются обобщенными координатами манипулятора, определяющими конфигурацию механизма в рассматриваемом положении. Переменные ai и q i определяются конструктивным исполнением звеньев манипулятора, в процессе движения они остаются неизменными.
Положение некоторой произвольной точки М в системе координат звена i определяется вектором rMi, а в системе координат звена (i-1) – вектором rMi-1. Эти радиусы связаны между собой через матрицу преобразования координат Мi следующим уравнением:
,
| где: | | - матрица перехода из i -ой системы координат в (i - 1) -ю. |
Рассмотрим шестиподвижный манипулятор в исходном или начальном положении (рис.20.2). За начальное положение принимается такое, в котором все относительные обобщенные координаты равны нулю. Переход из системы координат любого i –го звена к неподвижной или базовой системе записывается в виде
или
,
где
- матрица преобразования координат i –ой системы в координаты базовой системы координат.
|
| Рис. 20.2 |
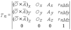
Для схемы, изображенной на рис.20.2, радиус rM6 = 0, а радиус rM0 определится по формуле
,
то есть положение выходного звена манипулятора определяется матрицей Тn. Элементы этой матрицы определяют положение центра схвата точки М и ориентацию его в пространстве. Четвертый столбец определяет, декартовы координаты точки М (проекции вектора rM0 на оси координат). Третий столбец содержит направляющие косинусы оси zn системы координат, связанной со схватом, или вектора подхода
, который характеризует направление губок схвата (рис.20.3). Второй столбец определяет направление оси yn или вектора ориентации
, который проходит через центр схвата по оси перпендикулярной рабочим поверхностям его губок. В первом столбце содержатся направляющие косинусы оси xn или вектора
. Углом подхода схвата
называется угол между вектором подхода
и базовым вектором
|
|
|
,
где
- орт вектора
неподвижной или базовой системы координат. С учетом сказанного, матрица Tn может быть представлена в следующем виде

|
| Рис. 20.3 |
В результате матричных преобразований получаем радиус-вектор точки М схвата в функции обобщенных координат. Обычно, за обобщенные координаты принимают линейные и угловые перемещения в кинематических парах или на выходных валах приводов манипулятора. В механизме с n подвижностями в общем виде функцию положения схвата можно записать так

где q1, q2, … qn – обобщенные координаты манипулятора.
При кинематическом анализе манипулятора в прямой задаче необходимо определить линейные и угловые скорости и ускорения схвата при заданных угловых и линейных обобщенных скоростях и ускорениях (обычно относительных скоростях и ускорениях в кинематических парах механизма). В обратной задаче по заданному закону изменения скоростей и ускорений схвата определяются законы изменения скоростей и ускорений в КП или на выходных звеньях приводов. Решение прямой задачи кинематики для точки М схвата можно получить продифференцировав четвертый столбец матрицы Тn по времени
|
Угловую скорость и угловое ускорение схвата можно определить векторным суммированием относительных угловых скоростей во вращательных КП механизма. Так как вектора угловых скоростей, при данном выборе ориентации осей координат, совпадают с осью z, то угловая скорость схвата

где
орт оси z системы координат, расположенной в центре КП, соединяющей звено i и звено i-1, m – число вращательных КП в механизме.
Дифференцируя это выражение по времени, получим формулу для определения углового ускорения схвата:

Динамика манипуляторов промышленных роботов.
Силовой расчет манипулятора.
Из большого разнообразия задач динамики манипуляторов рассмотрим две: силовой расчет и расчет быстродействия ПР. При силовом расчете манипуляторов решается задачи по определению внешних силовых управляющих воздействий, обеспечивающих требуемый закон движения механизма, и по расчету реакций в кинематических парах. Первую часть часто называют задачей синтеза управления. При силовом расчете обычно применяется метод кинетостатики, основанный на принципе Д’Аламбера. По этому методу к внешним силам и моментам, приложенным к звеньям механизма, добавляются расчетные силы инерции, которые обеспечивают силовую уравновешенность системы и позволяют рассматривать подвижную систему в квазистатическом равновесии, то есть, как условно неподвижную. Силовой расчет выполняется при заданной полезной нагрузке
, известных законах движения звеньев
и
(из предварительного кинематического расчета), известных инерционных характеристиках звеньев: массах звеньев mi и их моментах инерции Isi. По этим данным определяются главные вектора
и главные моменты
сил инерции для каждого из звеньев механизма. Для открытой кинематической цепи решение начинаем с выходного звена – схвата. Отброшенные связи звена n со звеном n-1 и выходным валом привода звена n заменяем реакциями
и
и составляем кинетостатические векторные уравнения равновесия сил и моментов для звена n (Рис.20.4):


где
- вектор момента в кинематической паре (проекция этого вектора на ось z является движущим моментом привода в КП, то есть
).
|
| Рис. 20.4 |
Проецируя векторные уравнения на оси координат, получим систему шести алгебраических уравнений откуда определим шесть неизвестных

Далее рассматривается равновесие звена n-1. При этом в месте его присоединения к звену n прикладываются реакции со стороны звена n
,
равные по величине и противоположные по направлению реакциям, определенным на предыдущем этапе расчета. Так последовательно составляются уравнения силового равновесия для всех n звеньев механизма. Из решения полученной системы 6n уравнений определяются реакции в кинематических парах, движущие силы и моменты.
Расчет быстродействия промышленного робота.
Время выполнения роботом цикла перемещений детали во многом определяет производительность всего роботизированного комплекса. Поэтому требования к быстродействию робота обычно достаточно высокие. Время выполнения роботом технологической операции обусловлено законами изменения внешних сил (движущих и сопротивления) и инертностью звеньев механизма. Закон изменения управляющих сил зависит от типа используемого привода и от вида системы управления. Существуют роботы с гидравлическими, пневматическими, электрическими и комбинированными приводами. В них применяются цикловые, позиционные или контурные системы управления. Рассмотрим расчет быстродействия одного из приводов промышленного робота с цикловой системой управления. При цикловой системе управления относительные перемещения звеньев ограничиваются передвижными упорами и концевыми выключателями.
На рис. 20.5 изображена кинематическая схема трехподвижного манипулятора ПР (1,2,3 – подвижные звенья, 0 – неподвижное звено). Здесь же приведена циклограмма настройки командоаппарата (сплошные линии) и циклограмма работы ПР (пунктирные линии). Общее время рабочего цикла Тц состоит из времени выстоя в заданных положениях (на циклограмме выстой показан прямыми параллельными горизонтальной оси t) и времени относительных перемещений звеньев из одного заданного положения в другое tпх и обратно tох (наклоные прямые на диаграммах). Время выстоя обычно задано условиями технологического процесса. Время выполнения роботом движений определяется динамическими характеристиками приводов и манипулятора – движущими силами и силами сопротивления, массами и моментами инерции звеньев.
|






