Потеряв всю энергию, частица останавливается. Расстояние, пройденное частицей в веществе, называется пробегом. На этом пути заряженная частица изменяет свою энергию от начального значения E0 до нуля в результате разных механизмов взаимодействия, основным из
которых для области энергий до 100 МэВ являются ионизационные потери. Поэтому понятно, что величина пробега зависит от массы, заряда, энергии частицы и характеристик среды.
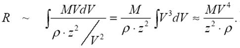
Пробег R частицы с начальной энергией Е0 можно определить выражением

.
Подставим выражение для dE для нерелятивистских частиц
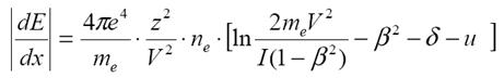
а из формулы Бете-Блоха


Оценим теперь, как пробег зависит от параметров частицы и среды:

Выводы из этого соотношения:
1. При равных скоростях пробеги частиц прямо пропорциональны
их массам и обратно пропорциональны квадратам зарядов.
2. Пробеги обратно пропорциональны плотности среды, т.е. удобно измерять пробеги в массовых единицах длины. В этом случае величина пробега практически не будет зависеть от характеристик среды: 
|
|
|
При более аккуратных расчетах не следует забывать, что в формуле Бете-Блоха есть еще коэффициенты, зависящие от среды: Z/A и I. Но для большинства веществ с малыми и средними A величина отношения Z/A~0,5 и очень медленно падает с увеличением A, а средний ионизационный потенциал I стоит под знаком логарифма, т.е. тоже слабо влияет на величину средних потерь энергии и, как следствие этого, на величину пробега.
3.Чтобы сравнивать пробеги частиц с одинаковыми кинетическими энергиями, удобно несколько преобразовать выражение для R:

Из этого соотношения видно, что при равных кинетических энергиях пробеги частиц обратно пропорциональны их массам. Этот факт проиллюстрирован на Рис.

Рис. Ионизационные потери Пробеги заряженных
заряженных частиц в кремнии частиц в кремнии
Для сравнения рядом приведены графики ионизационных потерь.

Траектории протонов в свинце.