δ-электроны – это электроны высокой энергии (>> I), которые выбиваются из атомов в результате прохождения через вещество тяжелой заряженной частицы. δ-электроны ответственны за «волосатость» треков заряженных частиц, наблюдаемых в камере Вильсона или фотоэмульсиях. По числу δ-электронов, создаваемых частицами сверхвысоких энергий в космических лучах или от ускорителей, можно надежно судить о заряде этих частиц.

При столкновении заряженной частицы с электроном среды в случае достаточно малого параметра удара b~a электрон может получить такую энергию, что сам будет вызывать ионизацию других атомов. Такие электроны называются δ-электронами. При ионизационных потерях в каждом столкновении пролетающей частицы с электроном среды в среднем ею теряется очень небольшая порция энергии. И только в редких случаях передается значительная энергия, т.е. образуется δ-электрон.
Вспомним уже полученное нами соотношение между энергией электрона Те и параметром удара: (z – заряд частицы)
|
|
|

Отсюда следует заключение, что большая передача энергии собразованием δ-электрона осуществляется при малых параметрах удара.
Фиксируем некий параметр удара b при котором возможна большая передача энергииэлектронам среды с образованием δ-электронов в интнрвале энергий (Тe, Тe+dТe).
Поэтому вероятность образования δ-электронов определяется вероятностью оказаться электрону среды в кольце площадью 2π bdb около траектории частицы, т.е. d σδ = 2π bdb. Но


. Cледовательно

При прохождении частицей пути dx она передает энергию Тe каждому из электронов среды, находящихся в объеме кольцевого цилиндра радиуса b, с площадью кольца 2π bdb и длиной dx. Объем такого кольцевого цилиндра –2π bdbdx, а количество электронов, находящихся в нем – ne∙ 2π bdbdx, где ne - плотность электронов в среде.
Таким образом, на единице своего пути в веществе частица образует
следующее число δ-электронов с энергией в интервале (Тe, Тe+dТe):
dNδ =2π bdbdx ∙ ne = nedxdσδ.
Подставляем выражение для dσδ:
.
Получаем:
, или
,
Где (с учетом
)
.
Таким образом, мы получили энергетический спектр δ-электронов:

из которого видно, что наиболее часто образуются δ-электроны малых энергий и по мере увеличения энергии δ–электронов число их резко падает.
Для релятивистских частиц b ≈1 величина Q перестает зависеть от энергии частицы:
,
а число δ-электронов с энергией Тe (МэВ) в интервале (Тe, Тe+dТe), созданных в среде на пути в 1 г/см2 релятивистской частицей, получается равным:

Из этой формулы видно, что число δ - электронов с энергией Тe, образованных в 1 г/см2 вещества релятивистской частицей, прямо пропорционально квадрату заряда частицы z2 и практически не зависит от характеристик среды, так как Z/A ≈ 0,5. Отсюда следует, что по плотности δ - электронов на треке частицы (например, в пузырьковой или фотоэмуль- сионной камере) можно определить заряд z релятивистской частицы.
|
|
|
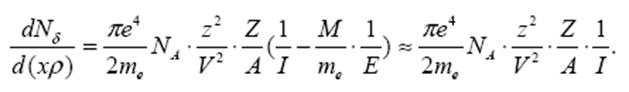
Чтобы найти полное число δ-электронов на единице пути частицы (плотность δ-электронов), надо проинтегрировать по всем возможным энергиям δ-электронов Те от минимальной до максимальной:

- некоторая нижняя граница δ-электронов, которая может быть выбрана довольно произвольно, но при условии, что δ- электроны все же могут сами ионизовать. Часто, например, принимают величину минимальной энергии 
Максимальная энергия, которую может получить электрон при столкновении с ним частицы массы М и кинетической энергией Е, будет:
, и, если M >> me,
.
Подставляя значения
и
найдем плотность d-электронов на 1 г/см2 пути:

Угловое распределение
Задача решается с точки зрения упругого рассеяния первичной частицы
на свободных электронах.
В системе центра инерции (СЦИ) угловое распределение δ-электронов определяется формулой Резерфорда: V – скорость налетющей частицы.
![]() |
Преобразование этой формулы от интервала углов (
) к соответствующему интервалу углов в л.с. можно воспользоваться соотношением ψ = (π -
)/2, где ψ – угол вылета δ-электрона относительно направления движения частицы.
Эту формулу можно получить из векторной диаграммы импульсов и из законов сохранения энергии.
Отсюда 
Преимущественное направление вылета δ-электронов ψ ~ π /2. по отношению к направлению движения первичной частицы.
Энергия, переданная заряженной частицей δ – электрону,
связана с углом его вылета соотношением:

при M>>me/
Таким образом δ-электроны, вылетающие под малыми углами к траектории частицы
(ψ~0), имеют максимальную энергию,
а вылетающие под углами, близкими к π/2, имеют энергии минимальные. Зная
энергию δ – электрона (например, по пробегу) и угол его вылета ψ
можно оценить энергию частицы Е.







