Объектом исследования является универсальная измерительная головка УИП-8, содержащая струнный модуль и узел автогенераторов.

Рис. 1. Внешний вид УИП-8
Строение:
1.– стойка
2.– измерительный преобразователь
3, 7,8 – винты
4 – предметтный столик
5 – фиксатор столика
6 – аретир
9 – наконечник
10 – винт перемещения столика
Начало работы:
Мера кладётся на столик, под наконечник, далее поднимаем лапку (если с аретированием – поднять, опустить).
Чувствительный элемент струнного датчика - натянутая вольфрамовая или стальная струна.
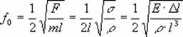
Действие струнного датчика основано на зависимости собственной частоты колебаний струны f 0 от её длины l, массы m и силы натяжения F (либо механического напряжения s или удлинения D l):

где rи E - соответственно плотность и модуль упругости материала струны
Осн элементы струнного датчика:
· Механическая система со струной
· Вторичный преобразователь (электромагнитный или магнито-электрический)
Этот преобразует изменение частоты колебаний механической системы в изменение частоты электрического входного напряжения.
Струнные датчики делятся на:
· Недефференцированные (однострунные)
· Деффирициальные (двухструнные)-у которых есть две идентичных струны
Дифференциальное включение струн позволяет значительно уменьшать влияние окружающей среды, температуры, давления на результаты преобразования входного параметра.
Основной недостаток однострунныъ датчиков, устраняемый при использовании ЭВМ – неличейная статическая характеристика (у дифференциальных струнны датчиков нелинейная статическая характеристика значительно меньше).
Уип-8 является однострунным.
Точность преобразования струнного датчика увеличивается, если основной составляющей жесткости механической системы является жесткость струны.
Один из примеров высокочастотного струнного датчика – струнный гравиметр со струной из кварца. Он имеет относительную погрешность преобразования не выше 10-6.






