В. 2 Прогнозирование спроса
Прогнозирование рынка — это оценка перспектив его развития на определенный период времени, осуществляемая на основе анализа фактических данных прошлого и настоящего исследуемого рынка. Цель прогноза — установление возможного проявления в перспективе факторов, воздействующих на рынок, включая общехозяйственную ситуацию, структурные сдвиги, динамику национального дохода, изменение фактора формирования цен и т. п.
В комплексном анализе развития рынка наиболее важную и сложную часть представляет прогнозирование покупательского спроса, т. к. спрос весьма динамичен, трудно предсказуем и зависит от большого числа различных факторов, поэтому между прогнозированием рынка и прогнозированием спроса можно, в определенном смысле, поставить знак равенства.
Классификация прогнозов осуществляется по ряду признаков:
- по региональным масштабам (глобальные, национальные, региональные и др.),
- по товарному (прогноз общего объема спроса, прогноз спроса на конкретный товар и др.);
|
|
|
- по периоду времени (кратко-, средне- и долгосрочные, т. е. соответственно во времени 2,2—5,5 и выше лет),
- по применяемому методу прогнозирования (экстраполяция, экспертные оценки, экономико-математическое моделирование, структурное моделирование, расчеты на основе коэффициентов эластичности: расчеты на основе норм потребления и обеспеченности и др.).
Выбор того или иного метода прогнозирования для каждого конкретного прогноза зависит от многих причин: целей прогнозирования, уровня информационной обеспеченности, времени упреждения прогноза, особенностей прогнозируемого рынка, причем определяющим критерием этого выбора является информационная обеспеченность, т. е. возможность получения необходимой исходной информации.
Наиболее актуальны и надежны в современных рыночных условиях следующие три метода:
Экстраполяция — нахождение неизвестного значения динамического ряда за его пределами путем механического переноса тенденций прошлого на будущее. Это наиболее часто используемый и сравнительно простой метод прогнозирования, ибо для его применения нужен минимум информации - всего один динамический ряд прогнозируемого показателя, как правило, за 5-7 лет.
Выбор одной из разновидностей экстраполяции зависит от характера имеющегося динамического ряда.
1. Расчет прогноза по среднему уровню ряда применяется тогда, когда динамический ряд не имеет тенденции роста, снижения, и его колебания относительно невелики. В этом случае в качестве прогноза может быть использована средняя арифметическая показателей ряда, определяемая формулой:
|
|
|
где yi - элемент динамического ряда с индексом i;
п - число показателей динамического ряда.
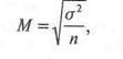
При этом возможная средняя ошибка прогноза М рассчитывается по формуле

где
- дисперсия;
п — число показателей в дисперсионном ряду.
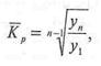
2. Расчет прогноза по средним темпам роста (снижения) имеет смысл в том случае, когда динамическому ряду свойственна устойчивая тенденция к повышению или снижению. В этом случае предполагается, что каждый последующий показатель динамического ряда равен предыдущему, умноженному на средний коэффициент темпов роста (снижения), который рассчитывается по формуле

где уп - конечный показатель динамического ряда;
у1 - начальный показатель динамического ряда;
п — количество показателей динамического ряда.
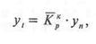
Далее на основе этого коэффициента можно вычислить прогноз по формуле

где к - время упреждения прогноза (число прогнозируемых интервалов времени).
3. Расчет прогноза путем выравнивания (сглаживания) динамического ряда также применяется при наличии устойчивой тенденции роста или снижения показателей динамического ряда. При этом тенденция развития прогнозируемого явления приблизительно описывается графиком какого-либо математического уравнения, а затем на основе подобранного уравнения рассчитывается прогноз. Схематически эта процедура представлена на рис. 1.

Рис.1.
Здесь: у - значение показателей динамического ряда; упр - прогнозный показатель; t - порядковый номер показателя динамического ряда (время, например год, месяц и т. д.);
начало и конец динамического ряда;
- порядковый номер прогнозного показателя; К - время упреждения прогноза.
Достоинство метода экстраполяции - сравнительная несложность проделываемых расчетов и небольшой объем исходной информации, а недостаток состоит в том, что при его применении явление рассматривается только как функция времени, а влияние других факторов не учитывается, поэтому метод экстраполяции применим лишь для краткосрочного рыночного прогнозирования.