Суть всех экспертных методов — сбор, обработка сведений от достаточно представительного числа экспертов. Эксперты (от лат. expertus — опытный) — это компетентные лица, обладающие знаниями и способные высказать аргументированное мнение по изучаемому явлению. Экспертиза — процедура получения оценок от экспертов. Объективная оценка изучаемого явления получается в результате обобщения субъективных мнений многих экспертов. Подготовка и проведение экспертизы осуществляется по программе, включающей такие основные этапы: определение цели и задач экспертизы; формирование экспертной группы; составление опросных листов; определение способа и процедуры опроса экспертов; проведение опроса; обработка и анализ информации, полученной от экспертов.
Опыт проведения экспертных оценок с целью прогнозирования объемов спроса, потребления и товарооборота показывает, что их действенность значительно повышается, если использовать панель экспертов, т. е. отбирать экспертов из списка специально подобранных компетентных лиц, которые систематически привлекаются к участию в повторяющихся экспертных оценках подобного рода.
|
|
|
Опыт осуществления прогнозов рынка показывает, что наиболее эффективны два метода опроса экспертов и последующего обобщения их мнений:
а) индивидуальный метод, когда согласование оценок проводится в режиме, при котором каждый эксперт дает оценку независимо от других, а затем с помощью какого-либо приема эти оценки обобщаются в одну. Например, простейший способ получения подобной обобщенной оценки состоит в вычислении средней арифметической.
Индивидуальный метод прост с организационной точки зрения и экономичен, но его применение ограничено из-за недостаточной достоверности получаемых оценок, ибо на практике экспертам предлагается выбрать либо один из нескольких вариантов прогноза, либо дать собственную количественную оценку;
б) метод Дельфи. Этот метод обладает следующими основными особенностями: на первом этапе каждый эксперт работает изолированно от других; опрос экспертов проводится в несколько туров; после каждого тура экспертов знакомят с оценками других экспертов и их средним значением при сохранении анонимности экспертов и подробной аргументации минимального и максимального значений оценок.
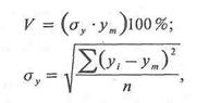
Решение о необходимости проведения последующих туров экспертизы и достоверности групповой оценки принимается, как правило, исходя из показателя согласованности мнений экспертов. В качестве такого показателя используется коэффициент вариации V, рассчитываемый по формуле:
|
|
|

где
— среднее квадратическое отклонение оценок;
ут - среднее значение оценки;
- индивидуальная оценка каждого эксперта;
п - число экспертов.
Если V> 40 %, то это свидетельствует о больших колебаниях и ненадежности средней величины - ут. При определении согласованности мнений экспертов V снижают и, как правило, считают приемлемым значение коэффициента вариации, не превышающее 33 %.






