При разработке методов прикладной статистики часто возникает следующая задача [3, с.338]. Имеется последовательность k-мерных случайных векторов Xn = (X1n, X2n, …, Xkn), n = 1, 2, …, такая, что Xn → a = (a1, a2, …, ak) при n → ∞, и последовательность функций fn: Rk → R1. Требуется найти распределение случайной величины fn(Xn).
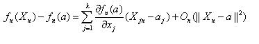
Основная идея – рассмотреть главный линейный член функции fn в окрестности точки а. Из математического анализа известно, что
,
где остаточный член является бесконечно малой величиной более высокого порядка малости, чем линейный член. Таким образом, произвольная функция может быть заменена на линейную функцию от координат случайного вектора. Эта замена проводится с точностью до бесконечно малых более высокого порядка. Конечно, должны быть выполнены некоторые математические условия регулярности. Например, функции fn должны быть дважды непрерывно дифференцируемы в окрестности точки а.
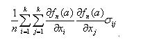
Если вектор Xn является асимптотически нормальным с математическим ожиданием а и ковариационной матрицей ∑/n, где ∑ = ||σij||, причем σij = nM(Xi – ai)(Xj – aj), то линейная функция от его координат также асимптотически нормальна. Следовательно, при очевидных условиях регулярности fn(Xn) – асимптотически нормальная случайная величина с математическим ожиданием fn(а) и дисперсией
|
|
|
.
Для практического использования асимптотической нормальности fn(Xn) остается заменить неизвестные моменты а и ∑ на их оценки. Например, если Xn – это среднее арифметическое независимых одинаково распределенных случайных векторов, то а можно заменить на Xn, а ∑ - на выборочную ковариационную матрицу.
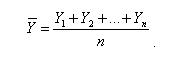
Пример. Пусть Y1, Y2, …, Yn – независимые одинаково распределенные случайные величины с математическим ожиданием а и дисперсией σ2. В качестве Xn (k = 1) рассмотрим выборочное среднее арифметическое
.
Как известно, в силу закона больших чисел
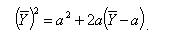
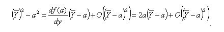
→ а = М(У). Следовательно, для получения распределений функций от выборочного среднего арифметического можно использовать метод линеаризации. В качестве примера рассмотрим fn(y) = f(y) = y2. Тогда
.
Из этого соотношения следует, что с точностью до бесконечно малых более высокого порядка
.
Поскольку в соответствии с Центральной Предельной Теоремой выборочное среднее арифметическое является асимптотически нормальной случайной величиной с математическим ожиданием а и дисперсией σ2/n, то квадрат этой статистики является асимптотически нормальной случайной величиной с математическим ожиданием а2 и дисперсией 4а2σ2/n. Для практического использования может оказаться полезной замена параметров (асимптотического нормального распределения) на их оценки, а именно, математического ожидания – на
, а дисперсии – на
, где s2 – выборочная дисперсия.
|
|
|






