Зада́ча Коши́ — одна из основных задач теории дифференциальных уравнений (обыкновенных и с частными производными); состоит в нахождении решения (интеграла) дифференциального уравнения, удовлетворяющего так называемым начальным условиям (начальным данным).
Задача Коши обычно возникает при анализе процессов, определяемых дифференциальным законом и начальным состоянием, математическим выражением которых и являются уравнение и начальное условие (откуда терминология и выбор обозначений: начальные данные задаются при t = 0, а решение отыскивается при t > 0).
От краевых задач задача Коши отличается тем, что область, в которой должно быть определено искомое решение, здесь заранее не указывается. Тем не менее, задачу Коши можно рассматривать как одну из краевых задач.
Основные вопросы, которые связаны с задачей Коши, таковы:
Существует ли (хотя бы локально) решение задачи Коши?
Если решение существует, то какова область его существования?
Является ли решение единственным?
|
|
|
Если решение единственно, то будет ли оно корректным, то есть непрерывным (в каком-либо смысле) относительно начальных данных?
Говорят, что задача Коши имеет единственное решение, если она имеет решение y = f(x) и никакое другое решение не отвечает интегральной кривой, которая в сколь угодно малой выколотой окрестности точки (x0,y0) имеет поле направлений, совпадающее с полем направлений y = f(x). Точка (x0,y0) задаёт начальные условия.
Различные постановки задачи Коши
ОДУ первого порядка, разрешённая относительно старшей производной

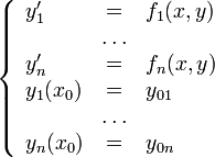
Система n ОДУ первого порядка, разрешённая относительно старших производных

ОДУ n-го порядка, разрешённая относительно старшей производной

Свойства задачи Коши

Теорема (о единственности решения).
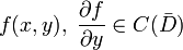
Пусть
, пускай также
— решение задачи Коши (1), определённые на отрезке
, причём
, тогда
на всём [x1,x2].
Теорема носит глобальный характер: решения совпадают везде, где существуют.
Теорема (о существовании).
Пусть
, пускай также
, тогда
, зависящее от x0,y0,D,f такое, что
— решение задачи Коши (1), определённое на отрезке [x0 − h,x0 + h].
Теорема носит локальный характер: решение существует лишь в небольшой окрестности x0.






