Классический метод Рунге — Кутта 4 порядка
Тема 6.3. Метод Рунге-Кутгы
Методы Рунге — Кутта — важное семейство численных алгоритмов решения (систем) обыкновенных дифференциальных уравнений. Данные итеративные методы явного и неявного приближенного вычисления были разработаны около 1900 года немецкими математиками К. Рунге и М. В. Куттой.
Формально, методами Рунге — Кутта являются модифицированный и исправленный метод Эйлера, они представляют собой схемы второго порядка точности. Существуют стандартные схемы третьего порядка, не получившие широкого распространения. Наиболее часто используется и реализована в различных математических пакетах (Maple, MathCAD, Maxima) стандартная схема четвёртого порядка (см. ниже). Иногда при выполнении расчётов с повышенной точностью применяются схемы пятого и шестого порядков.
Метод Рунге — Кутта 4 порядка столь широко распространен, что его часто называют просто метод Рунге — Кутта.
Рассмотрим задачу Коши
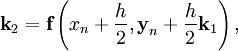
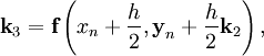
. Тогда значение в следующей точке вычисляется по формуле:
|
|
|

где




— величина шага сетки по
.
Этот метод имеет 4 порядок, т.е. ошибка на каждом шаге составляет O(h5), а суммарная ошибка на конечном интервале интегрирования O(h4).
Семейство прямых методов Рунге — Кутта является обобщением метода Рунге — Кутта 4 порядка. Оно задается формулами

где

Конкретный метод определяется числом s и коэффициентами bi,aij и ci. Эти коэффициенты часто упорядочивают в таблицу

Для коэффициентов метода Рунге — Кутта должны быть выполнены условия
для
. Если мы хотим, чтобы метод имел порядок
, то следует так же обеспечить условие
, где
— приближение полученное по методу Рунге — Кутта. После многократного дифференцирования это условие преобразуется в систему полиномиальных уравнений на коэффициенты метода.