При объеме производства, максимизирующем прибыль, исходя из формулы (7.1), можно записать:

Так как целью фирмы является максимизация прибыли, мы можем приравнять предельный доход к предельным издержкам:
|
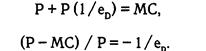
| или |
| (7.3) |
Данная формула представляет собой правило «большого пальца» для ценообразования. Левая часть уравнения (Р - МС)/Р выражает превышение цены над предельными издержками как процент от цены. Уравнение показывает, что, данное превышение равняется величине, обратной эластичности спроса, взятой с отрицательным знаком. Можно переписать это уравнение, чтобы выразить цену через предельные издержки:
(7.4)
Например, если эластичность спроса равняется -5, а предельные издержки 10 ден. ед. на единицу продукции, цена должна составить:
10 / (1-1/5) = 10/0,8 = 12,5 ден. ед.
Таким образом, если в условиях совершенной конкуренции цена равна предельным издержкам, то монополист назначает цену, превышающую предельные издержки на величину, обратно пропорциональную эластичности спроса.
Следовательно, способом измерения монопольной власти является величина, на которую цена, максимизирующая прибыль, превышает предельные издержки.
|
|
|
С помощью уравнения (7.4) можно рассчитать цену как простую накидку над предельными издержками. Это универсальное правило ценообразования для любой фирмы с монопольной властью, если учитывать, что еD является коэффициентом эластичности спроса для фирмы, а не рыночного спроса.






