Таблица 1. Характеристика основных моделей рынка
| Признаки модели рынка | Модели рынка | |||
| Совершенная конкуренция | Несовершенная конкуренция | |||
| Монополистическая конкуренция | Олигополия | Чистая монополия | ||
| Количество фирм | Множество | Много | Несколько | Одна фирма |
| Тип продукции | Однородная, стандартизированная | Мнимая или действительная дифференциация | Однородная или дифференцированная | Уникальная продукция |
| Степень контроля над ценой | Отсутствует контроль | Слабый, незначительный контроль | Частичный контроль | Высокая степень контроля |
| Условия вступления в отрасль | Ограничений нет, равный доступ к информации | Относительно лёгкие, удовлетворительный доступ к информации | Ограничен доступ на рынок и к информации | Доступ на рынок блокирован |
| Неценовая конкуренция | Отсутствует | Используется реклама, торговые марки и товарные знаки | Используется в значительной степени | Создание благоприятного имиджа фирмы |
| Примеры | Фермерские хозяйства | Розничная торговля, производство одежды, обуви, косметики, мебели и т.д. | Автомобилестроение, авиационная, химическая, нефтяная, электронная промышленность и т.д. | Электрические и газовые, местные телефонные компании и т.д. |
Монополистическая конкуренция – тип отраслевого рынка, на котором существует достаточно много продавцов, продающих дифференцированный продукт, что позволяет им осуществлять определенный контроль над продажной ценой товара (или услуги). На рынке монополистической конкуренции действует относительно большое число продавцов, каждый из которых удовлетворяет небольшую долю рыночного спроса на общий тип товара, реализуемого фирмой и ее конкурентами. При монополистической конкуренции размеры рыночных долей фирм составляют в среднем от 1 до 10 % общего объема продаж на данном рынке, что больше, чем в условиях совершенной конкуренции (до 1 %). Количество продавцов обуславливает тот факт, что последние не считаются с реакцией своих соперников, когда выбирают объемы продаж и устанавливают цены на свою продукцию, в отличие от ситуации олигополии, когда на рынке одного товара действует лишь несколько крупных продавцов.
|
|
|
Хотя на отраслевом рынке продаются товары (или реализуются услуги) одного типа, при монополистической конкуренции продукт каждого продавца обладает специфичными качествами или характеристиками, которые служат тому, чтобы некоторые покупатели предпочли его товар товару конкурирующих фирм. Это называется дифференциацией товара в противовес стандартизированным товарам, характерным для совершенной конкуренции. Специфичность товара дает каждому продавцу определенную степень монопольной власти над ценой: на престижные товары (например, часы "Ролекс", ручки "Монт Бланк", духи "Шанель") цены всегда устанавливаются выше, чем на аналогичные товары, не имеющие столь знаменитой торговой марки или не столь блестяще разрекламированные.
|
|
|
При монополистической конкуренции легко основать новую фирму в отрасли или покинуть рынок – вход на данный отраслевой рынок не затруднен такими барьерами, какие ставят на пути новичка монополия и олигопольные структуры. Однако этот вход не настолько легок, как при совершенной конкуренции, поскольку вновь пришедшие часто испытывают трудности со своими новыми для покупателей торговыми марками. Примерами отраслей с преобладанием монополистической конкуренции могут служить рынки женской, мужской или детской одежды, ювелирных изделий, обуви, безалкогольных напитков, книг, а также рынки различных услуг – парикмахерские и т. п.
Таким образом, монополистическая конкуренция похожа на ситуацию монополии тем, что фирмы обладают способностью контролировать цену своих товаров. Одновременно она похожа и на совершенную конкуренцию, поскольку каждый товар продается многими фирмами и на рынке существуют достаточно свободный вход и выход.
Олигополия представляет собой рынок, на котором работает небольшое число крупных фирм. Небольшим будет считаться то количество фирм, при котором любая фирма может вырабатывать ценовую политику только с учетом действий конкурентов. Такая взаимозависимость подталкивает олигополистов к сговору, т. е. согласованию ценовой стратегии. Существуют серьезные барьеры для вступления в отрасль новых фирм. Ограниченные взаимозависимостью в области ценообразования фирмы в условиях олигополии делают упор на неценовую конкуренцию (рекламные изыски, усовершенствование технологии, повышение качества продукта и т. д.). В условиях олигополии может производиться стандартизированная продукция (цветные и чёрные металлы, цемент и т. д.), а может производиться дифференцированная продукция (автомобили, электробытовая техника, сигареты, моющие средства и т. д.).
Чистая монополия подразумевает, что на данном рынке функционирует только одна фирма. Для продукта, который производит монополист, не существует приемлемых заменителей. Таким образом, монополист "диктует цену", а покупатель вынужден соглашаться с ценой или отказываться от приобретения товара. Появление конкурентов заблокировано наличием барьеров экономических и политических, технических, технологических, юридических, криминальных и т. д. Монополисты прибегают к рекламе в том случае, когда это может увеличить объём продаж за счёт отказа потребителей от каких-то других покупок. Например, авантюрного склада человек может польститься на разрекламированный туристический полёт в космос, отказавшись при этом от покупки великолепной виллы. Другие же монополисты, особенно производители коммунальных услуг, особого смысла в рекламе своего продукта не видят ("наш газ самый газовый газ в мире"). Однако они уделяют повышенное внимание созданию благоприятного имиджа в глазах общественности.
Существуют различные взгляды на роль монополий в эффективном использовании ресурсов и обеспечении научно-технического прогресса. Но общепризнанно, что монополист стремится к производству, продаже меньшего объёма продукции и по более высокой цене, чем его конкурентный коллега. Таким образом, складывается картина недостаточно эффективного распределения и использования ресурсов. Комплекс подобных причин побуждает государство заниматься регулированием деятельности таких монополий. Основным инструментом такого регулирования является антимонопольное (антитрестовское) законодательство. Антимонопольные законы могут регламентировать цены на производимую продукцию и могут регламентировать процессы слияния и демонополизации компаний. Примером является решение о демонополизации (разделе на 2-3 самостоятельных фирмы) компании Microsoft.
|
|
|
· фирмы не обладающие рыночной властью (совершенная конкуренция).
Совершенная конкуренция – вид отраслевого рынка, на котором много фирм продают стандартизированный продукт и ни одна фирма не обладает контролем над такой долей рынка, которая позволила бы влиять на цену продукта. При совершенной конкуренции доля каждой фирмы в общем выпуске продукции, продаваемой на рынке, составляет менее 1 %. Поэтому конкурентные фирмы не могут воздействовать на рыночную цену изменением объема продаж, что имеет место в условиях олигополии. В силу того что на совершенно конкурентных рынках продается не дифференцированная (как при монополистической конкуренции), а стандартизированная, т. е. лишенная особых качественных характеристик, продукция, фирмы также не могут влиять на рыночную цену, а вынуждены принимать ее как заданную извне, самим рынком. Ни одна из фирм не рассматривает конкурентов как угрозу ее рыночной доле продаж и, следовательно, не интересуется производственными решениями своих конкурентов. Информация о ценах, технологии и вероятной прибыли доступна для любой фирмы, и существует возможность быстро реагировать на изменившиеся условия рынка посредством перемещения применяемых производственных ресурсов, т. е. продажи одних факторов производства и вложения вырученных средств в другие. Для продавцов вход на рынок и выход из него абсолютно свободны, так как не существует барьеров, не позволяющих фирме продавать свой товар на данном рынке; нет и трудностей с прекращением операций на рынке. Нарушение любого из перечисленных требований приводит к подрыву совершенной конкуренции и возникновению несовершенной конкуренции. Последняя наиболее характерна для современных рынков в связи с господством на них монопольных тенденций.
|
|
|
Основное различие между рынком совершенной конкуренции и рынком несовершенной конкуренции состоит в том, что на первом фирмы не обладают рыночной (монопольной) властью, а на втором – обладают. Монопольная власть означает способность фирмы влиять на цену своей продукции, т. е. устанавливать ее по своему усмотрению. Фирмы, обладающие монопольной властью, называются ценопроизводителями (в другом переводе – ценоискателями). Фирмы, работающие на совершенно конкурентном рынке, напротив, могут быть охарактеризованы как ценополучатели, так как они принимают рыночную цену как заданную извне, самим рынком, и находящуюся вне их контроля, следовательно, эти фирмы не обладают монопольной властью.
Под рыночной структурой понимается совокупность условий, в которых протекает рыночная конкуренция. Степень конкуренции на рынке во многом определяет ценовую политику фирм. Тип рыночных структур зависит от следующих основных параметров:
1. количество и размер фирм. Существуют 4-е основных показателя, которыми характеризуется размер фирмы:
· доля продаж фирмы в рыночном объеме реализации
,
где di – доля i фирмы на рынке;
m – число фирм в отрасли;
Qij – количество j-го товара, производимой i-ой фирмой;
Pij – цена j-го товара, производимого i-ой фирмой.
· доля стоимости активов фирмы в стоимости активов всех фирм, действующих на рассматриваемом рынке
,
где Аi – стоимость активов i-той фирмы
· доля добавленной стоимости на предприятии в сумме добавленной стоимости всех производителей, действующих на рынке
, DC = П+А+ЗП,
где DC – добавленная стоимость;
П – прибыль;
ЗП – заработная плата;
А – амортизация.
· доля занятых на предприятии в общей численности занятых в производстве данного продукта
,
где ri – численность работников i-фирмы.
В мировой практике считается, что если di до 10 % включительно – фирма мелкая, от 10 – 30 % включительно – средняя, от 30 % – крупная.
Результаты расчета показателей концентрации могут существенно зависеть от выбора меры размера фирмы. Например, если крупные фирмы используют более капиталоемкие технологии по сравнению с мелкими, то уровень концентрации, измеренный по стоимости активов, будет больше уровня концентрации для той же отрасли, но измеренного по уровню продаж или занятости. На уровень концентрации, выраженный через добавленную стоимость, будет влиять вертикальная интеграция. Если крупные фирмы интегрированы в большей степени, чем средние и мелкие, то использование добавленной стоимости в качестве показателя размера фирмы даст более высокий уровень концентрации, чем объем продаж. Кроме того, существует проблема диверсификации: для фирм, чья деятельность протекает в разных подотраслях и на разных рынках, трудно выделить занятость, объем продаж или величину добавленной стоимости, которые приходятся на данный рынок.
Иногда размер крупнейших фирм может служить характеристикой концентрации на рынке. Именно этот критерий лежит в основе определения доминирующего положения в России (признаком доминирования служит контроль не менее 35 % рынка), в Великобритании (соответственно не менее 25 % рынка).
Для совершенной конкуренции – di < 1%
Для монополистической конкуренции – di < 10 %
Для олигополии – di = 10 – 50 %
Для монополии – di = 100 %
Для регулирования конкуренции и ограничения монополизма с целью создания гибкой рыночной системы в странах с развитыми рыночными отношениями практическая деятельность позволила разработать свои критерии и эмпирические приемы анализа структуры различных типов рынков, а также методы расчета конкретных показателей уровня концентрации рынка товаров.
В процессе анализа структуры различных моделей рынков применяются в основном количественные методы определения уровня концентрации рынка товаров. При большом количестве предприятий на рынке уровень его концентрации становится ниже. Если на рынке действуют разные фирмы одной отрасли, значительно отличающиеся по своему размеру (отношению общего объема продаж, численности работников, занятых в производстве конкретной продукции, стоимости основных фондов и активов определенного предприятия к общему соответствующему уровню этих показателей всех предприятий данной отрасли), то уровень концентрации рынка получается выше.
Для определения уровня концентрации рынка товаров важно правильно определить прежде всего показатели размера предприятия (фирмы, компании, корпорации) и границы рынка, которые характеризуются особенностями продукции (производственно-технического назначения, продуктовые товары), а также временным (товары длительного пользования, текущего потребления) и географическим (территориальные, поясные границы) факторами.
Основными конкретными показателями (индексами), определяющими уровень концентрации рынка товаров разных фирм, являются показатель пороговых долей (удельных весов) рынка, индекс концентрации, индекс Линда, индекс Херфиндаля — Хиршмана.
Для определения уровня концентрации рынка служит показатель размера наиболее крупных фирм (компаний, корпораций, предприятий, объединений), действующих на нем, который называется показателем пороговых долей рынка.
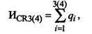
1. Индекс концентрации (ИCR) (concentration ratio) показывает долю наиболее крупных фирм (компаний, корпораций, объединений) в общем объеме рынка товаров в процентах. Он рассчитывается как сумма рыночных долей наиболее крупных фирм, осуществляющих свою деятельность на определенном рынке:

где qt — доля (удельный вес) i-й фирмы, %.
Согласно практическим данным, наиболее достоверна общая оценка состояния рыночной концентрации товаров, осуществляемая по количественным значениям индексов концентрации для трех наиболее крупных фирм.
Индекс концентрации фирм может колебаться в следующих пределах: 0 < ИCR ≤ 100%. Если ИCR < 45%, то концентрация считается нормальной, а рынок товаров — конкурентным; если 45% < ИCR < 70%, то концентрация достигает средней степени, а при ИCR > 70% получается высокая степень концентрации, в этом случае рынок товаров является неконкурентным.
Указанный индекс концентрации в неполной мере может учитывать специфические особенности рыночной структуры всей конкретной отрасли, однако этот показатель можно применять в качестве определенного ориентира при небольшом числе доминирующих фирм в отрасли, прежде всего действующих на рынках олигополистической или монополистической конкуренции, а также в сочетании с другими индексами рыночной концентрации товаров (услуг).
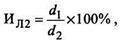
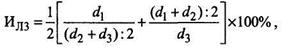
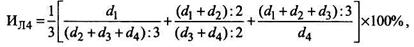
2. Индекс Линда (Ид) в основном применяется в странах Европейского союза и рассчитывается прежде всего для наиболее крупных фирм (компаний, корпораций, объединений), действующих в самом «ядре» рынка определенных товаров.
Для двух наиболее крупных фирм индекс Линда:

где d1, d2 — рыночные доли (удельные веса) соответствующих фирм в общем объеме продаж.
Для трех наиболее крупных фирм индекс Линда:

где d1, d2, d3 — рыночные доли (удельные веса) соответствующих фирм в общем объеме продаж.
Для четырех наиболее крупных фирм индекс Линда:

где d1, d2, d3, d4 — рыночные доли соответствующих фирм в общем объеме продаж.
Важно отметить, что в случае намерения слияния фирм государственные органы могут дать соответствующее разрешение при условии, если индекс Линда будет находиться, как правило, в следующих пределах: 120% < Ид < 200%.
3. В качестве критерия демонополизации рынка и создания условий для конкуренции в США используется весьма простой индекс Херфиндапя — Хиршмана (ИXX), который можно рассматривать как индекс рыночной концентрации товаров разных фирм, представленных на рынке.
Индекс Херфиндаля — Хиршмана (Ихх) рассчитывается по следующей формуле:

где gi — доля (удельный вес) каждой фирмы на рынке в общем объеме выпущенной продукции, %; к — количество фирм в отрасли. При этом

т.е. при любом количестве в конкретной отрасли фирм (компаний, предприятий) общий удельный вес всей выпускаемой ими продукции должен составлять 100%.
При проведении расчета индекса по методу Херфиндаля — Хиршмана рынок считается неконцентрированным (нормальным для конкуренции), если общий Ихх < 1000 ед. (т.е. если общая сумма квадратов удельных весов всей выпускаемой продукции в конкретной отрасли (на рынке) составит меньше 1000 ед.). При таких значениях индекса Херфиндаля—Хиршмана разрешается любое слияние фирм. Рынок считается высококонцентрированным (неконкурентным), если общее значение указанного индекса превышает 1800 ед.
Наибольшее значение индекса Ихх достигается при монополизации рынка одной фирмой (компанией, концерном), при этом Ихх = (100%)2 = 10 000 ед. Если 1000 < Ихх < 1800, то рынок обладает средней степенью концентрации и слияние допускается при условии до и после слияния не более 300 пунктов. Последняя становится очень высокой при Ихх > 1800 ед. В этом случае объединение фирм государственными органами не разрешается.
Таким образом, при значениях индекса Херфиндаля — Хиршмана, равных 1000 ед. и ниже, рынки считаются неконцентрированными. Они конкурентны, и в силу этого предложение товаров и их производство достаточно быстро реагируют на изменение ситуации на рынке.
Предложение (производство) товаров в этих условиях очень эластично, потому что вероятность реакции даже одной фирмы на изменившуюся конъюнктуру рынка достаточно высокая, а при небольших значениях Ихх может быть и весьма высокой. В этих условиях конкурентного рынка предложение товаров в зависимости от цены будет расти. Наоборот, чистая монополия, когда фирма не имеет конкурентов и является единственной на рынке, порождает неэластичность предложения, застой в производстве, при этом вероятность реакции последнего на изменяющиеся условия рынка невелика.
В современных условиях развития российской экономики для регулирования конкуренции и ограничения монополизма наиболее распространен метод расчета уровня концентрации на товарных рынках (в конкретной отрасли), основанный на определении индекса концентрации (ИCR для трех наиболее крупных фирм (компаний, корпораций), занимающих больший удельный вес в общем объеме рынка (или в общем объеме отраслевого производства продукции), а также применяется метод расчета индекса Херфиндаля — Хиршмана.
Следовательно, исходя из проводимого анализа качественных и количественных показателей (индексов), отражающих структуру рынка товаров, можно определять степень рыночной концентрации и уровень конкуренции на рынке, соответственно разрабатывать и формировать конкурентную среду на конкретном рынке.