Учет источников тепловыделения в выработках и определение их интенсивности необходимо для составления уравнений теплового баланса, на основании которых производят расчет необходимого расхода воздуха и его температуры. Перечислим источники тепловыделения и приведем формулы для оценки их эффективности (тепловыделение в единицу времени).
1. Тепловыделение при охлаждении горных пород массива в процессе движения воздуха по выработкам
(4.17)
где Пв — периметр выработки, м; Lв — длина выработок, м;
Тп — температура пород массива на данной глубине, °С;
Твс — средняя температура воздуха по длине выработки, °С.
2. Суммарное тепловыделение при окислении угля, угольной пыли и крепежного леса
(4.18)
где q0 — тепловыделение при окислительных процессах, приведенное к скорости рудничного воздуха ω= 1 м/с, Вт/м2; q0 = 3,5-4,5 Вт/м для негазоносных пластов и в 0,5-0,9 раза меньше для газоносных.
3. Тепловыделение местных источников:
• от электродвигателей горнопроходческого оборудования
(4.19)
где Nn — потребляемая мощность электродвигателей, кВт;
|
|
|
Кз — коэффициент загрузки электродвигателей во времени, Кз = 0,3-0,8;
• от освещения
(4.20)
где NСВ— мощность светильников, кВт;
• при подъеме груза лебедкой
(4.21)
где η м — механический к.п.д. лебедки; Nл — установленная мощность электродвигателя л Зедки, кВт; К3 — коэффициент загрузки электродвигателей во времени, К3 = 0,3-0,8;
• при спуске груза лебедкой
(4.22)
• при работе трансформатора
(4.23)
где Nт — мощность трансформатора, кВт;
mт — коэффициент тепловых потерь шахтного транформатора, mт = 0,05;
• при работе контактного электровоза тепловыделение определяют по формуле (4.19), а при работе аккумуляторных электровозов полученное тепловыделение по формуле (4.19) необходимо умножить на коэффициент 1,5, характеризующий тепловыделение при химичской реакции в аккумуляторах;
• при работе водоотливных насосов тепловыделение определяют по формуле (4.19);
• при работе механизмов с пневмодвигателями тепловыделение определяют по увеличению объема рудничного воздуха за счет отработанного сжатого воздуха в соответствии с законом Клапейрона
(4.24)
где Gп — весовой расход воздуха в пневмодвигателе, кг/с;
С 1 и С 2 — удельная теплоемкость сжатого и отработанного воздуха, Дж/(кгК);
P1 и P2 — давление сжатого и отработанного воздуха, Па;
и
— удельный объем сжатого и отработанного воздуха, м3/кг
• при работе людей
(4.25)
где qр — количество тепла, выделяемое организмом одного рабочего при тяжелом физическом труде (яр = 290 Дж/с); nр — число рабочих в выработке;
• при охлаждении шахтной воды в открытой канавке
(10.26)
где α в— коэффициент теплоотдачи от поверхности воды к рудничному воздуху, Вт/ (м2∙К);
|
|
|
Fк — площадь поверхности теплообмена канавки, м2;
Твод — температура воды, °С;
ТВC — средняя температура воздуха в выработке, °С;
β — коэффициентмассоотдачи, Вт/(м∙Па);
Ртш — давление насыщенных паров при температуре шахтной воды, Па;
Рп — парциальное давление водяных паров в рудничном воздухе, Па;
• при охлаждении шахтной воды в закрытой канавке
(4.27)
где α вп— коэффициент теплопередачи от воды к воздуху через покрытие канавки, Вт/ (м∙К);
• при сжатии или расширении воздуха при его движении по вертикальным или наклонным горным выработкам
(4.28)
где Gв — расход воздуха, кг/с;
1В — длина наклонной или вертикальной выработки, м; ψ — угол наклона выработки, градус.
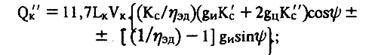
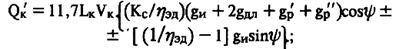
4. Тепловыделение при работе конвейеров:
• ленточного
(4.29)
• скребкового или пластинчатого
(4.30)
где Lк — длина конвейера, м;
Vк — скорость движения несущего полотна конвейера, м/с;
Кс — коэффициент сопротивления движению ленты по роликам, Кс = 0,05;
η эд — к.п.д. электродвигателя;
gи — масса полезного ископаемого, приходящаяся на 1 м конвейера, кг;
gл — масса 1 м ленты конвейера, кг;
и
— масса вращающихся роликов на грузовой и холостой ветвях конвейера соответственно, кг;
ψ — угол наклона конвейерной выработки, градус;
Кс — коэффициент сопротивления движению материала по рештаку: для скребковых конвейеров Кс = 0,9, а для пластинчатых Кс = 0,16;
gц — масса 1 м тяговых цепей полотна, кг;
Кс" — коэффициент сопротивления движению цепи конвейера, Кс" =0,3.
В выражениях (4.29) и (4.30) знак плюс ставится при расположении конвейера в уклоне, а знак минус — при расположении его в бремсберге.
5. Тепловыделение при транспортировании полезного ископаемого в вагонетках:
(4.31)
где Gи — количество транспортируемого полезного ископаемого на
данном участке, кг/с;
c и — удельная теплоемкость транспортируемого полезного ископаемого, Дж/ (кг∙К);
θ ни θ к— осредненные по объему вагонетки безразмерные температуры полезного ископаемого в начале и конце расчетного участка (при критерии Фурье, изменяющемся от 104 до 106, и критерии Био, изменяющемся от 10 до 200, величины θ ни θ кизменяются от 0,09972 до 0,703);
Тн — начальная температура полезного ископаемого, загружаемого в вагонетки, Тн на 2-4°С ниже температуры массива на данной глубине, °С;
Твс — средняя за период транспортирования температура воздуха, °С.
6. Тепловыделение при транспортировании полезного ископаемого конвейерами:
(4.32)






