Во многих случаях полезные результаты могут быть получены более простым интегральным методом.
Интегральный метод, или метод усредненных характеристик, основан на том факте, что локальные газодинамические эффекты в конечном итоге выступают в виде некоторых обобщенных, или интегральных, усредненных закономерностей, таких, например, как изменение среднего по сечению содержания газа на выходе из забоя, участка, шахты, изменение суммарного дебита газа из выработанного пространства в выработку и др. Предметом интегрального метода анализа является исследование газодинамических процессов в шахтах, описанных в терминах усредненных характеристик. В интегральном методе использованы такие усредненные характеристики процесса, как средняя скорость движения, среднее содержание и т.п. Усреднение может производиться по одному, двум, трем измерениям, а также во времени*. Использование усредненных характеристик не требует знания их полей, что существенно упрощает аппарат анализа, а также турбулентных характеристик потока, которые в этом методе обычно учитываются эмпирическими константами. Число параметров процесса сокращается. Все это делает интегральный метод достаточно простым и легко приводящим к конкретным результатам.
|
|
|
Однако замена локальных значений характеристик их усредненными значениями не всегда может пройти без заметного снижения достоверности получаемых результатов. В качестве примера можно привести расчет расхода воздуха по среднему содержанию метана для выработок, где имеются слоевые скопления газа: при достаточности полученного расхода в среднем он не всегда может обеспечить ликвидацию зон высокого содержания газа в пристеночных областях. В общем, правомерность и погрешность использования метода средних характеристик определяется их различиями, как в точке, так и во всей области движения, причем, чем больше области, где эти различия существенны, тем менее правомерно использование этого метода и тем больше возникающая при этом погрешность.
Основным соотношением интегрального метода является соотношение между содержанием газа с, объемным расходом газа J и расходом газовоздушной смеси Q*:
(7.1)
Если J и Q взаимонезависимы, изменение содержания прямо пропорционально расходу газа и обратно пропорционально расходу воздуха. В частности, монотонному изменению расхода воздуха в этом случае соответствует монотонное изменение содержания газа.
В ряде случаев расход газа в выработке зависит от расхода воздуха. При этом возможно появление так называемых переходных газодинамических процессов, при которых обратно пропорциональная зависимость между с и Q нарушается. В общем имеющий практическое значение характер зависимости с(Q) определяется соотношением (7.1) и зависимостью с (J).
|
|
|
Основой метода усредненных характеристик является закон сохранения массы, который применяется к участку выработки конечной длины или к выработке в целом. Для выбранного участка определяются интегральные газовые потоки, поступающие в выработку и выходящие из нее, от всех действующих в выработке источников газовыделения. Алгебраическая сумма поступления газа в выработку и его выноса в виде этих потоков за некоторый промежуток времени определяет изменение газосодержания в объеме рассматриваемой выработки за этот же период.
Под интегральным газовым потоком от i -го источника понимается количество газа, поступающее в рассматриваемую выработку в единицу времени. Если i -й интегральный газовый поток в выработку объема V обозначить через Ji то, согласно закону сохранения массы и в соответствии с вышесказанным, получим следующее наиболее общее дифференциальное уравнение переноса газа:
(7.2)
или
(7.3)
где п — число интегральных газовых потоков в выработке; ее — изменение среднего содержания газа в выработке за период времени
В стационарном случае
(7.4)
Интегральные газовые потоки могут поступать в выработку (выходить из нее) либо со струей воздуха, либо с ее твердых границ.
Интегральный газовый поток, вносимый (выносимый) в выработку вентиляционной струей,
(7.5)
где с ср - среднее содержание газа в поступающем (выходящем) в выработку воздухе; Q - расход воздуха на входе (выходе) в выработку.
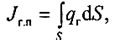
Интегральные газовые потоки с твердых границ выработки могут иметь различное происхождение и рассчитываться разными способами. Так, интегральный газовый поток с обнаженной поверхности горных пород
(7.6)
где q г - абсолютное газовыделение с единицы обнаженной поверхности; S - площадь обнаженной поверхности.
Аналогично определяется интегральный газовый поток из граничащего с выработкой выработанного пространства.
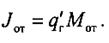
Интегральный газовый поток из находящейся в выработке отбитой горной массы может быть определен как произведение абсолютного газовыделения q' г, отнесенного к единице массы отбитой горной породы, на общую отбитую массу Мот:
(7.7)
Следует иметь в виду, что q ги q' г являются функциями времени.






