Возникающие в выработках с ограниченными воздушными потоками газодинамические ситуации зависят от режима вентиляции, вида источника (точечный или линейный), характера газовыделения (мгновенное или непрерывное), способа поступления воздуха в выработку от топологии вентиляционной сети.
Знание газодинамической ситуации в одиночной выработки крайне необходимо, однако, еще более важно представлять поведение ограниченных потоков в системе выработок, образующих вентиляционную сеть объекта.
Одна из основных задач газовой динамики системы выработок — определение содержания газа в выработках вентиляционной сети при задании содержания в некоторых из них. В такой постановке эта задача является сетевой газодинамической.
Пусть имеем произвольную вентиляционную сеть, содержащую L ветвей и N узлов.
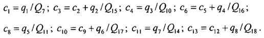
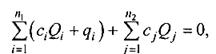
Для каждого из N узлов сети справедлив закон сохранения массы газа, который для изотермических условий и малых перепадов давления может быть записан в виде
(7.8)
где с, - содержание газа в начале i -й подающей воздух к узлу выработки; Qi, qi, - соответственно расход воздуха и суммарный дебит всех источников и стоков в i -и выработке; п 1 — число выработок, подающих воздух к узлу; сj, Qi - соответственно содержание газа и расход воздуха в j -й отводящей воздух от узла выработке; n 2 - число выработок, отводящих воздух от узла.
|
|
|
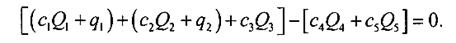
В уравнении (7.8) первая сумма означает количество подводимого к узлу газа, вторая - количество отводимого газа; первое слагаемое под знаком первой суммы определяет количество газа, поступающего в выработку со струей воздуха, приходящей к узлу. При наличии в выработке с поступающей струей источника или стока газа содержание С; должно быть взято в начале выработки (до источника или стока). Например, для узла А (рис. 7.1)

Рис.7.1. Схема узла к выводу уравнения (6.9)
уравнение (7.8) примет вид
(7.9)
Поскольку в первой и второй выработках, подводящих воздух к узлу, действуют источники q 1и q 2, содержания газа с 1и с 2 берутся на входе в эти выработки; содержания с3, с4, с5, равно как и все расходы воздуха Q 1, Q 2, Q 3, Q 4, Q 5, могут быть взяты в любом месте соответствующих выработок.
Источники, действующие в выработках с исходящей от узла струей, в формулу (7.8) -
не входят и учитываются в следующих по струе узлах, для которых они являются источниками на поступающих струях. Например, источники q 4 и q 5 (рис. 7.1) учитываются в уравнениях узлов В и С; к уравнение (7.9) для узла А они не входят.
Следует иметь в виду, что в вентиляционной системе часть узлов может быть "пустой" (т.е. узлов, в выработках которых не содержится газа). Узел остается "пустым" и в случае, когда во входящих выработках нет газа, а в выходящих из узла действуют источники газа; такие выработки рассматриваются как газосодержащие уже для следующих по струе узлов. Очевидно, необходимым и достаточным условием "пустоты" узла является отсутствие газа в поступающих в узел струях.
|
|
|
Если число "пустых" узлов равно N n, то общее число узловых уравнений для содержания
(7.10)
Таким образом, решение стационарной сетевой газодинамической задачи состоит в решении системы из Е линейных узловых уравнений (7.8).
Если число неизвестных содержаний газа в сети равно Кс, то система имеет решение при Е > Кс. В случае Е < Кс к Е узловым уравнениям следует добавить Е 1дополнительных соотношений для содержаний. Таковыми могут быть соотношения типа
(7.11)
для выработок с известными источниками (стоками). Введение соотношений (7.11) означает задание содержаний в ряде выработок и тем самым уменьшение числа неизвестных содержаний. Число дополнительных соотношений должно удовлетворять условию
(7.12)
Решению системы узловых уравнений должно предшествовать определение расходов воздуха в ветвях системы, т.е. решение аэродинамической сетевой задачи.
Рассмотрим такое решение на примере шахты, схема вентиляции которой представлена на рис. 7.2.

Рис. 7.2. Схема вентиляции шахты
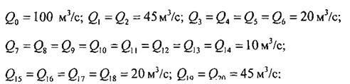
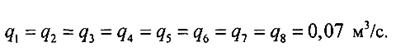
Для упрощения примем симметричное распределение воздуха и источников газовыделения по выработкам. Введем следующие значения исходных данных. Расходы воздуха в выработках:

дебиты источников газа:

Схема содержит N = 16 узлов и L = 22 ветви.
"Пустыми" являются узлы 1,2, 3, 4, 5, 6, 7, 8; их число N n = 8. Число узловых уравнений в соответствии с формулой (6.10) – E = N - N n Þ Е = 8. Неизвестными являются все указанные на схеме содержания - от с 1до с 15; их число Кс = 15. Имеем Е < Кс, что означает необходимость введения дополнительных соотношений, принимаемых по формуле (7.11) -
для выработок с источниками. Число этих выработок и, следовательно, число дополнительных соотношений для рассматриваемой схемы Е 1= 8. Таким образом, общее число независимых выражений для определения пятнадцати неизвестных содержаний будет Е + Е1 =16. Следовательно, условие (7.12) выполняется.
Выпишем полную систему определяющих выражений. Узловые уравнения:
для узла 9 - 
для узла 10 -
для узла 11 - 
для узла 12 - 
для узла 13 - 
для узла 14 - 
для узла 15 - 
Дополнительные соотношения для ветвей с заданными источниками газовыделения:

Из первых четырех узловых уравнений следует, что

Аналогично с 5 = с 9 = с 12 =0,016.
Из пятого, шестого и седьмого узловых уравнений имеем
.
Аналогично 
.
Из дополнительных соотношений
;
; 
;
;
;
.
Таким образом, простыми вычислениями были определены содержания газа в выработках вентиляционной сети.
* расширение жидкости, газа при прохождении через сужающее устройство, сопровождающееся изменением температуры
* векторы, лежащие на одной прямой или на параллельных прямых..
* безразмерная величина, характеризующая течение вязкой жидкости (или газа) и определяющая для него отношение сил инерции к силам вязкости: Re= rvl/η = vl/v, где v и l – характерные скорость и линейный размер, а r, η и v – плотность, динамическая и кинематическая вязкость.
* Лайгна К.Ю., Поттер Э.А. О роли турбулентной диффузии и дисперсии при переносе газообразных примесей в шахтных вентиляционных струях и потоках // Физико-технические проблемы разработки полезных ископаемых. - 1988. - № 2. -| I 15-120.
* струя в этом случае не является затопленной
* Последнее не следует смешивать с усреднением во времени локальных характеристик турбулентного движения
* Вследствие небольшого содержания газа в воздушном потоке расход газовоздушной смеси называют расходом воздуха, чего в дальнейшем и будем придерживаться
|
|
|
[1] Потоки, имеющие твердые границы, возникающие в камерах при значительной их длине, когда свободные струи достигают боковых стенок камеры, или в случаях, когда воздухоподающие выработки имеют поперечные размеры, близкие к размерам камер
* Тонкий слой у твердых границ потока






