Алгоритм изображения окружности несколько сложнее, чем построение отрезка. Мы рассмотрим его для случая окружности радиуса
с центром в начале координат. Перенесение его на случай произвольного центра не составляет труда. При построении растровой развертки окружности можно воспользоваться ее симметрией относительно координатных осей и прямых
. Необходимо сгенерировать лишь одну восьмую часть окружности, а остальные ее части можно получить путем отображений симметрии. За основу можно взять часть окружности от 0 до 45° в направлении по часовой стрелке с исходной точкой построения
. В этом случае координата окружности
является монотонно убывающей функцией координаты
.

Рис. 8.7. Ближайший пиксель при движении по окружности
При выбранном направлении движения по окружности имеется только три возможности для расположения ближайшего пикселя: на единицу вправо, на единицу вниз и по диагонали вниз (рис. 8.7). Выбор варианта можно осуществить, вычислив расстояния до этих точек и выбрав минимальное из них:

Алгоритм можно упростить, перейдя к анализу знаков величин
. При
диагональная точка лежит внутри окружности, поэтому ближайшими точками могут быть только диагональная и правая. Теперь достаточно проанализировать знак выражения
. Если
, выбираем горизонтальный шаг, в противном случае - диагональный. Если же
, то определяем знак
, и если
, выбираем диагональный шаг, в противном случае - вертикальный. Затем вычисляется новое значение
, причем желательно минимизировать вычисления не только этой величины, но и величин
на каждом шаге алгоритма. Путем несложных преобразований можно получить для первого шага алгоритма, что
.
После перехода в точку
по диагонали новое значение
вычисляется по формуле
, при горизонтальном переходе
, при вертикальном
-
.
Таким образом, алгоритм рисования этой части окружности можно считать полностью описанным (блок-схема его приведена на рис. 8.8). Все оставшиеся ее части строятся параллельно: после получения очередной точки
можно инициализировать еще семь точек с координатами
.
Для построения растровой развертки эллипса с осями, параллельными осям координат, и радиусами
воспользуемся каноническим уравнением

которое перепишем в виде

В отличие от окружности, для которой было достаточно построить одну восьмую ее часть, а затем воспользоваться свойствами симметрии, эллипс имеет только две оси симметрии, поэтому придется строить одну четверть всей фигуры. За основу возьмем дугу, лежащую между точками
и
в первом квадранте координатной плоскости.

Рис. 8.8. Блок-схема построения восьмой части окружности
В каждой точке
эллипса существует вектор нормали, задаваемый градиентом функции
. Дугу разобьем на две части: первая - с углом между нормалью и горизонтальной осью больше 45° (тангенс больше 1) и вторая - с углом, меньшим 45° (рис. 8.9). Движение вдоль дуги будем осуществлять в направлении по часовой стрелке, начиная с точки
. Вдоль всей дуги координата является монотонно убывающей функцией от
, но в первой части она убывает медленнее, чем растет аргумент, а во второй - быстрее. Поэтому при построении растрового образа в первой части будем увеличивать
на единицу и искать соответствующее значение
, а во второй - сначала уменьшать значение
на единицу и определять соответствующее значение
.
Направление нормали соответствует вектору

Отсюда находим тангенс угла наклона вектора нормали:
. Приравнивая его единице, получаем, что координаты точки деления дуги на вышеуказанные части удовлетворяют равенству
. Поэтому критерием того, что мы переходим ко второй области в целочисленных координатах, будет соотношение
, или, переходя к целочисленным операциям,
.

Рис. 8.9. Две области на участке эллипса

Рис. 8.10. Схема перехода в первой и второй областях дуги эллипса
При перемещении вдоль первого участка дуги мы из каждой точки переходим либо по горизонтали, либо по диагонали, и критерий такого перехода напоминает тот, который использовался при построении растрового образа окружности. Находясь в точке
, мы будем вычислять значение
. Если это значение меньше нуля, то дополнительная точка
лежит внутри эллипса, следовательно, ближайшая точка растра есть
, в противном случае это точка
(рис. 8.10а).
На втором участке дуги возможен переход либо по диагонали, либо по вертикали, поэтому здесь сначала значение координаты y уменьшается на единицу, затем вычисляется
и направление перехода выбирается аналогично предыдущему случаю (рис. 8.10б).
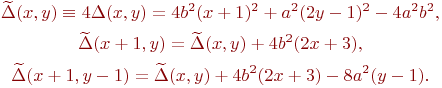
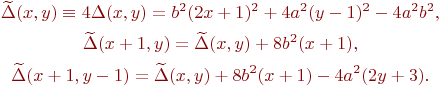
Остается оптимизировать вычисление параметра
, умножив его на 4 и представив в виде функции координат точки. Тогда для первой половины дуги имеем

Для второй половины дуги получим

Все оставшиеся дуги эллипса строятся параллельно: после получения очередной точки
, можно инициализировать еще три точки с координатами
. Блок-схему не приводим ввиду прозрачности алгоритма.
-----------------------------------------------------------------------------------------------------------------------------------------------------------------------------------------------------------------------------------пояснение из другой лекции------------------------------------------------------------------------------------------------------------------------------