Некоторые экономисты считают, что невысокий уровень инфляции оживляет экономическую конъюнктуру. Однако следует помнить, что пагубность даже небольшого уровня инфляции заключается в искажении ценового сигнала. Экономические решения, учитывающие искаженную ценовую информацию, пусть даже они принимаются по всем правилам рациональности, становятся все менее и менее эффективными. Цены, учитывающие искаженную информацию, углубляют диспропорции в экономике и, при прочих равных условиях, темпы инфляции могут перейти на более высокий уровень. Как образно выразился Ф.Хайек, «высокая инфляция и в особенности сильно варьирующая инфляция приводит к тому, что помехи полностью «забивают» полезный сигнал и важная информация превращается в бессмысленный шум».
Рассмотрим подробнее социально-экономические последствия инфляции:
- Инфляция искажает относительные цены, что деформирует факторное распределение доходов и размещение ресурсов, а также снижает эффективность производства и дальнейшего распределения но всей воспроизводственной цепочке.
В том числе, инфляция нарушает распределение национального дохода между трудом и капиталом в пользу капитала. Действительно, чем выше темпы инфляции, тем ниже реальная заработная плата, тем меньшей частью национального продукта вознаграждается фактор труда по отношению к фактору капитала. Т. е., при ускорении темпов инфляции доля труда в национальном доходе сокращается.
Чтобы в этом убедиться, представим динамику доли труда α как разность между темпом прироста реальной заработной платы w/P и темпом прироста производительности труда q. Тогда при неизменной производительности труда прирост его доли в национальном доходе будет равен приросту реальной заработной платы w/P. Темп прироста реальной заработной платы равен темпу прироста номинальной зарплаты за вычетом темпов инфляции π, т. е. α = w/P = w - π.
- Инфляция перераспределяет имущество от кредиторов к должникам. Долги в условиях инфляции возвращаются подешевевшими деньгами: при неравномерном росте цен невозможно застраховать ссужаемый капитал, так как невозможно точно рассчитать будущий темп инфляции.
- Инфляция нарушает пропорции распределения национального дохода между частным сектором и государством в пользу последнего. Реализуя монопольное право на эмиссию, например, в целях покрытия бюджетного дефицита, государство расширяет денежное предложение, повышая темпы инфляции. Покупательная способность населения снижается и оно недопотребляет часть национального продукта. Покупательная способность государства, наоборот, вырастает на перераспределенную в его пользу денежную сумму. Таким образом, государство посредством эмиссии облагает население специфическим видом налога - инфляционным налогом (IT), ставка которого равна темпам инфляции гг. Инфляционный налог - это убытки экономических субъектов, держащих свои активы в денежной форме. Базой такого налогообложения являются реальные денежные запасы М/Р, либо денежная база (С + R). Рассчитать инфляционный налог, взимаемый с населения, можно по формуле:
IT = (М/Р) * π, или IT = πC + (π - i)D, (8)
где IT - инфляционный налог, М/Р - реальные денежные запасы, С - объем наличности, D - объем депозитов,; i - номинальная ставка процента.
Доход государства от создающей инфляцию эмиссии (сеньораж) и доход от инфляционного налога IT (в виде дополнительного приобретения государством товаров и услуг на сумму эмиссии) совпадают при умеренных темпах инфляции, когда объем желаемых денежных запасов остается неизменным: Δ М/ΔР = const.
Существует временной лаг между начислением и уплатой налога. При высокой инфляции бюджетные поступления государства обесцениваются за период с момента начисления и до момента их поступления в бюджет. Такое воздействие инфляции на фискальную систему называется, эффектом Танзи-Оливера, который наблюдался в 1970-е годы во время гиперинфляции в Латинской Америке.
- Инфляция перераспределяет национальный доход между получателями трансфертных платежей и участниками производства в пользу последних. Факторный доход участников производства, получаемый в денежной форме, растет пропорционально инфляционному повышению цен. Напротив, номинальный доход в виде пенсий, пособий и других трансфертных выплат не привязан к изменению цен (в период между индексациями) и его покупательная способность уменьшается быстрее, чем реальный доход участников производства, который при не слишком высокой инфляции может остаться неизменным.
Рассмотренные перераспределительные эффекты, создаваемые инфляцией, воздействуют и на поведение экономических субъектов. При высоких темпах инфляции агенты рынка перестают доверять друг другу, включая государство, что усиливает инфляционные ожидания и экономическую нестабильность.
6. Инфляция и безработица: кривая Филлипса. Теория естественного уровня
Рассматривая модели инфляции спроса и инфляции издержек, мы увидели, что инфляция спроса в краткосрочном периоде способна временно повысить реальный объем производства, стимулируя предложение труда. Инфляция издержек, наоборот, ведет к падению реального производства и уменьшению спроса на труд. Таким образом, существует тесная связь между уровнем занятости и темпами инфляции.
Обратная зависимость между инфляцией и безработицей была обнаружена профессором Лондонской школы экономики Олбаном Филлипсом. Олбам Филлипс был австралийским инженером. В 1930-х годах он добрался по Транссибирской магистрали из Владивостока в Лондон, где и окончил Лондонскую школу экономики.
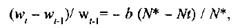
Исследовав статистические данные Великобритании почти за сто лет (с 1861 по 1957 гг.), он пришел к выводу, что темпы роста цен и заработной платы начинали снижаться, если безработица превышала 3%-ный уровень, и наоборот. В 1958 году Филлипс опубликовал результаты наблюдений и рассчитал обратную взаимозависимость между уровнем занятости и номинальной ставкой заработной платы. Графическое изображение этой зависимости получило название кривой Филлипса, которая описывается как

где w - номинальная ставка заработной платы, b - параметр, отражающий чувствительность уровня номинальной заработной платы к изменению уровня безработицы, N* - уровень полной занятости (соответствующий естественному уровню безработицы).
Расчеты Филлипса были подкреплены теоретическими разработками американского экономиста Р.Липси. Позднее П.Самуэльсон и Р.Солоу заменили в модели Филлипса темп прироста номинальной заработной платы на показатель инфляции π.
В этом виде модель Филлипса, отражающая взаимосвязь инфляции и безработицы, изображена на рис. 5.

Рис. 5. Кривая Филлипса в краткосрочном плане
Кривая Филлипса показывает обратную зависимость инфляции и безработицы в краткосрочном плане: если при темпах инфляции π1, безработица находится на уровне U1, то подавление инфляции до π2, сопровождается ростом безработицы до U2.
Из графика (рис. 5) видно, что темп инфляции π, откладываемый по оси ординат, и уровень безработицы U, отмеченный по оси абсцисс, находятся в обратной зависимости. В краткосрочном плане инфляционный рост цен и заработной платы стимулирует предложение труда и расширение производства. Об этом и шла речь при рассмотрении инфляции спроса.
Необходимо отметить, что наличие обратной зависимости между уровнем безработицы и темпами инфляции связано со спецификой механизма инфляционных ожиданий экономических агентов. Формирование адаптивных инфляционных ожиданий происходит с учетом ее фактического уровня в прошлом и зависит от скорости пересмотра этих ожиданий:
πe 1 = πe + ν (π - πe)(10)
где π - фактический темп инфляции, πe - текущие инфляционные ожидания, πe 1 - ожидаемая инфляция в следующем периоде, a ν - коэффициент коррекции ожиданий, изменяющийся в пределах [ 0; 1]. При очень медленном изменении инфляционных ожиданий текущая инфляция почти не оказывает на них никакого воздействия. Если ν =1, то πe будут такими же, как текущая инфляция. Прогноз инфляции, при котором πe 1= π, называется статическими ожиданиями. Они являются разновидностью (частным случаем) адаптивных ожиданий.
Рациональные ожидания означают, что экономические агенты в своих прогнозах учитывают всю имеющуюся у них информацию о будущих ценах и в среднем не ошибаются в своих расчетах: πe 1 = πe 1 (xi:), где i = 1,….n,.. xi - факторы ценообразования. Механизм рациональных ожиданий будет рассмотрен далее.
Уравнение кривой Филлипса с учетом инфляционных ожиданий записывается как
(11)
где b - чувствительность номинальной ставки заработной платы к изменению фактического уровня безработицы U, a Un - естественный уровень безработицы, ή - внешний шок цен. Данное уравнение показывает, что темпы инфляции не меняются, если текущая безработица равна Un. Попытки удерживать безработицу ниже естественного уровня приводят к ускорению темпов инфляции, а выше - к замедлению. Поэтому Un (рис. 5) называют «уровень безработицы, не ускоряющий темпов инфляции» - NAIRU (Non-Accelerating-Inflation Rate of Unemployment).
Проводя антиинфляционную политику, необходимо знать «цену» победы над инфляцией, т. е. определить, на сколько процентов повысится безработица, если снизить л на 1%. Этот показатель называется коэффициентом ущерба (SR) и при статических ожиданиях измеряется весьма просто:
SR = 1/ b, (12)
где b - изменение уровня безработицы в процентах.
Таким образом, повышение темпов инфляции - плата за расширение рабочих мест. Напротив, за снижение темпов инфляции нужно платить увеличением безработицы. Однако эта зависимость не выдержала эмпирической проверки в 1970-е гг. В чем причина того, что кривая Филлипса стала вести себя «ненормально»?
Дело в том, что в экономике США и стран Западной Европы в начале 1970-х гг. динамика цен и производства отразила последствия целого ряда кризисных явлений. Олигополистический сговор стран ОПЕК о резком повышении цен на энергоносители вызвал энергетический кризис в странах-импортерах. Поэтому назревший к тому времени структурный кризис в США и Западной Европе обострился внешним шоком. Спады производства 1973-74 гг. и начала 1980-х, вызванные ростом издержек, было невозможно остановить мерами кредитно-денежной политики. Развивалась стагфляция: рост безработицы сопровождался повышением темпов инфляции. На графике (рис. 6) ситуация стагфляции изображена смещением кривой Филлипса вправо-вверх из положения Ph1 до положения Ph3.

Рис. 6 - Стагфляция
На рисунке изображено одновременное повышение инфляции π1 -> π2, и безработицы U1-> U2т. е. стагфляция, что выражается смещением кривой Филлипса вправо-вверх.
В долгосрочном плане реальный объем производства и уровень занятоcти не зависят от инфляции спроса, а изменяются под влиянием внешних факторов: шоков предложения (технология, ценовые шоки) и шоков спроса. Например, внедрение новых ресурсосберегающих технологий снижает издержки на единицу продукции, и реальный объем производства растет, повышая уровень занятости.
Если развитие экономики требует структурной перестройки, технологических нововведений, а правительство продолжает стимулировать производство, раздувая совокупный спрос, инфляция издержек загоняется внутрь. Несбалансированная экономика становится особо чувствительной ко внешним и внутренним шокам.
Итак, краткосрочная модель Филлипса уже не соответствовала изменившейся ситуации. В 1979 г. М.Фридменом была предложена гипотеза естественного уровня безработицы. Статистические данные за 1970-е и 80-е гг. показывали, что в условиях стагфляции, просуществовавшей почти до конца 1980-х гг., краткосрочная кривая Филлипса смещается вправо вверх, что соответствует инфляции издержек. Устойчивость уровня безработицы (около 6-7%) при отсутствии ее циклической составляющей, с одной стороны, и продолжение роста темпов инфляции, с другой, были положены в основу модели долгосрочной кривой Филлипса. Расхождения экономистов в толковании долгосрочной кривой Филлипса привели к возникновению двух вариантов гипотезы естественного уровня безработицы - теории адаптивных ожиданий и теории рациональных ожиданий. Обе теории показывают, как срабатывают инфляционные ожидания экономических агентов в процессе их приспособления к изменению экономической политики правительства в условиях полной занятости, или естественного уровня безработицы.
Рассмотрим, как описывает долгосрочную кривую Филлипса теория адаптивных ожиданий. Наклонные краткосрочные кривые Филлипса1 на рис. 23.7а показывают ожидаемые темпы инфляции экономических агентов на всем протяжении рассматриваемых кривых. Так, на кривой Ph инфляционные ожидания (if) составляют 3% в год, на кривой Ph., ожидаемая инфляция составляет 6% и т. д.
Теория адаптивных ожиданий обосновывает краткосрочную кривую Филлипса наличием у экономических агентов инфляционных ожиданий, которые не совпадают с фактической инфляцией в будущем, т. е. неверных инфляционных ожиданий. Фактический темп инфляции (он откладывается по оси ординат) в следующем периоде каждый раз превышает ожидаемый уровень инфляции πe 1. Пока у предпринимателей и рабочих сохраняется заниженная оценка инфляции, стимулирующая фискальная и денежная политика срабатывают, ведя в краткосрочном периоде к увеличению реального выпуска и снижению уровня безработицы.
Например, ожидаемый темп инфляции составляет в 1990 г. 3%, а безработица в том же году - 6%, что соответствует ее естественному уровню в точке А1 на рис.7а.
Политика стимулирования совокупного спроса подтягивает фактические темпы повышения цен в 1991 г., скажем, к 6%-му уровню. Однако экономические агенты продолжают считать, исходя из предыдущего опыта, что инфляция в 1991 г. составит 3% в год. При повышении цен на их товары у предпринимателей появляется стимул больше производить, поэтому они начинают нанимать дополнительных работников. Это снижает уровень безработицы в краткосрочном плане, что соответствует передвижению вдоль краткосрочной кривой Филлипса из точки А0в точку В0, на рис.7а. В точке В0 ожидаемые темпы инфляции составляют 3%, а фактические уже 6%.
Напомним, что кривая Филлипса с учетом адаптивных инфляционных ожиданий выглядит как в формуле (11), т. е.

Что же происходит в долгосрочном периоде? Со временем экономические агенты обнаруживают, что рост товарных цен и ставок номинальной заработной платы был чисто инфляционным. Скорректировав свою оценку инфляции (теперь ожидаемая инфляция составит 6% на кривой Ph), они начинают адаптироваться к новому, более высокому ее уровню. Работники, желая сохранить свою реальную заработную плату, требуют повышения номинальной ставки заработной платы. Предприниматели, поняв, что повышение цен не связано с расширением спроса на их продукцию, а издержки на заработную плату увеличились, сокращают выпуск, по крайней мере, до прежнего уровня. Снизившаяся на время безработица снова возвращается к отметке 6%.
На рис. 7а. эта адаптация показана перемещением из точки В1 в точку А2вследствие сдвига краткосрочной кривой Филлипса в новое положение Ph2. Если профсоюзы и правительство будут продолжать бороться за сокращение естественною уровня безработицы теми же методами, то повторится аналогичная история, но уже при более высоком уровне инфляции. Безработица сократится на время, пока ожидаемая инфляция ниже ее фактического уровня. Произойдет аналогичное перемещение вдоль краткосрочной кривой Филлипса, из точки А2 в точку В2. В точке В 2 ожидаемая инфляция составляет 6%, а фактическая уже 9%. Но как только «ложные» инфляционные ожидания (не соответствующие фактической инфляции) будут скорректированы, безработица снова вернется к естественному уровню 6%, но уже при более высоких темпах инфляции (9%). Итак, в долгосрочном плане экономика будет перемещаться из точки А1 в точку А2 затем в точку А3 и т. д., что и объясняет вертикальное положение долгосрочной кривой Филлипса LRPh, полученной соединением этих точек.

а) долгосрочная кривая Филлипса б) долгосрочная кривая Филлипса
в трактовке теории адаптивных ожиданий в соответствии с теорией рациональных
ожиданий
Рис. 7 - Долгосрочная кривая Филлипса
Теория рациональных ожиданий, выдвинутая американскими экономистами Дж.Мутом, Р.Лукасом и др., основана на предпосылках, близких к совершенной конкуренции (подробнее об этой теории см. гл. 26). Свободное движение ресурсов и симметричная информация дает хозяйствующим субъектам возможность в точности просчитать последствия предпринимаемых правительством шагов. Экономические агенты прекрасно понимают, как функционирует экономика. Их инфляционные ожидания точно совпадают с фактической инфляцией в будущем, т. е. πe 1 = π1. Другими словами, инфляционные ожидания рациональны. Когда правительство пытается применить стимулирующую бюджетно-налоговую или денежную политику, предприниматели уже знают, что увеличился не спрос именно на их продукцию, а повысился общий уровень цен в стране. Банкиры закладывают инфляционные ожидания в номинальную ставку процента, ухудшая условия кредита для заемщиков. Рабочие не увеличивают предложения труда, так как предвидят, что ставка реальной заработной платы не изменится в следующем периоде. Стимулируемый правительством совокупный спрос не вызывает ответной реакции со стороны совокупного предложения даже в краткосрочном плане. Это обусловливает перемещение экономической системы из положения, соответствующего точке А 1 в точку A2 и затем в точку А3, минуя «семейство» точек В на рис. 7а. Вертикальное положение долгосрочной кривой Филлипса (LRPh) на рис. 7б показывает, что при наличии рациональных ожиданий естественный уровень безработицы (Un) ни в долгосрочном, ни в краткосрочном плане не чувствителен к изменению общего уровня цен. Поскольку на всем протяжении вертикальной кривой Филлипса ожидаемые и фактические темпы инфляции всегда совпадают, никакие попытки правительства снизить естественный уровень безработицы мерами дискреционной политики не увенчаются успехом.
Итак, сторонники теории рациональных ожиданий считают, что калькулирующие способности экономических агентов сводят на нет усилия политиков по стимулированию производства методами гибкой политики. Необходимо использовать автоматическую денежную политику, например, монетарное правило.
Анализ долгосрочной кривой Филлипса в рамках теории адаптивных и рациональных ожиданий показывает, что попытки добиться расширения производства в условиях полной занятости посредством стимулирования совокупного спроса неизбежно приводят к инфляционному накалу, который, вылившись в высокую инфляцию, может привести к серьезным социально-экономическим последствиям.